I'm trying to reproduce a paper. The point is that I have three variables and I will like to do the bifurcation diagram.The paper is this one:"A chaotic model of migraine headache considering the dynamical transitions
of this cyclic disease" by Atiyeh Bayani, Sajad Jafari,Boshra Hatef and Julien Clinton.If you want to check it all.
I'll show you the model in wich all the parameters are fixed except (e01) which is going to be my bifurcation parameter.Any idea?

A1dot[A1_, e01_, A2_,
A3_] := ((e01 + c1*A1)*
s1 + (K11*A1 + K12*A2 + K13*A3)*
q1*((e01 + c1*A1)^
p1/((e01 + c1*A1)^
p1) + ecrit1^p1))*(1 - A1) - (d1*A1);
A2dot[A1_, A2_,
A3_] := ((e02 + c2*A2)*
s2 + (K12*A1 + K22*A2 + K23*A3)*
q2*((e02 + c2*A2)^
p2/((e02 + c2*A2)^
p2) + ecrit2^p2))*(1 - A2) - (d2*A2);
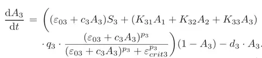
A3dot[A1_, A2_,
A3_] := ((e03 + c3*A3)*
s3 + (K31*A1 + K32*A2 + K33*A3)*
q3*((e03 + c3*A3)^
p3/((e03 + c3*A3)^
p3) + ecrit3^p3))*(1 - A3) - (d3*A3);
e03 = 1; c3 = 1; s3 = 0.1; K31 = 0; K32 = -1; K33 = -7; q3 = 1; p3 = 4; ecrit3 = 1; d3 = 0.1;
– Valentina Bedoya Jul 16 '19 at 02:18e03 = 1; c3 = 1; s3 = 0.1; K31 = 23; K32 = 0; K33 = 0; q3 = 1; p3 = 4; ecrit3 = 1; d3 = 0.1;
– Valentina Bedoya Jul 16 '19 at 14:36Variance[{A1,A2,A3}]againste01, and (I think?) you're suppose to do that fort -> Infinity(eg.tmax=100). If there was any chaos, then I think the valuesA1[Infinity]etc. are suppose to scatter all over the place ase01varies, but instead they change smoothly withe01and make curves instead of scatter plots. – Andrew Norton Jul 18 '19 at 13:52