2

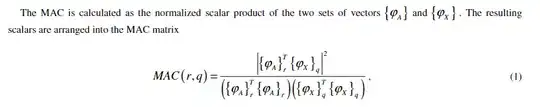
I have two lists and I want to find the value of MAC using below formulaformula. But the problem is transpose on the list is not permissible in Mathematica?. If I just carry out without transpose, I am getting MAC value as 1. which is wrong. I am expecting a MAC value which is between to 0.9-0.95. And the other question, Is Transpose function only applies for matrices?

Subscript[ϕ, 
  a] = {0., 0.00758684, 0.0151222, 0.0225548, 0.0298332, 0.036906, 
   0.0437221, 0.0502304, 0.0563798, 0.0621194, 0.0673986, 0.0721668, 
   0.0763735, 0.0799688, 0.0829025, 0.085125, 0.0865867, 0.0872383, 
   0.0870309, 0.0859154, 0.0838435, 0.0807667, 0.076637, 0.0714063, 
   0.0650272, 0.057452, 0.0486335, 0.0385245, 0.027078, 
   0.0142472, -0.0000147872, -0.0207673, -0.043783, -0.0688821, \
-0.095885, -0.124613, -0.154887, -0.18653, -0.219366, -0.25322, \
-0.287917, -0.323288, -0.359162, -0.395372, -0.431753, -0.468145, \
-0.504389, -0.540329, -0.575814, -0.610698, -0.644836, -0.67809, \
-0.710325, -0.741414, -0.771232, -0.799661, -0.826587, -0.851904, \
-0.875511, -0.897313, -0.917222, -0.935156, -0.95104, -0.964807, \
-0.976394, -0.985748, -0.992822, -0.997576, -0.999977, -1., \
-0.997627, -0.992848, -0.98566, -0.976065, -0.964077, -0.949712, \
-0.932996, -0.913962, -0.892648, -0.869101, -0.843373, -0.815522, \
-0.785615, -0.75372, -0.719916, -0.684284, -0.646911, -0.607891, \
-0.567319, -0.525299, -0.481935, -0.437337, -0.391619, -0.344896, \
-0.297288, -0.248917, -0.199906, -0.150381, -0.100469, -0.0502993, 0.};
Subscript[ϕ, x] = {8.61215*10^-6, 0.00907824, 0.0180589, 
  0.0268619, 0.0353983, 0.0435798, 0.0513177, 0.0585241, 0.0651109, 
  0.0709904, 0.0760754, 0.0802789, 0.0835142, 0.0856953, 0.0867361, 
  0.0865515, 0.0850563, 0.0821661, 0.0777966, 0.0718642, 0.0642853, 
  0.054977, 0.0438563, 0.0308408, 
  0.015848, -0.00120439, -0.02042, -0.0415716, -0.0645701, \
-0.0892686, -0.11552, -0.143179, -0.1721, -0.202138, -0.23315, \
-0.264993, -0.297527, -0.330612, -0.36411, -0.397886, -0.431805, \
-0.465736, -0.49955, -0.53312, -0.566323, -0.599037, -0.631146, \
-0.662535, -0.693093, -0.722713, -0.751293, -0.778732, -0.804937, \
-0.829815, -0.853282, -0.875254, -0.895657, -0.914417, -0.931468, \
-0.946747, -0.960198, -0.971769, -0.981414, -0.989092, -0.994769, \
-0.998413, -1., -0.999512, -0.996936, -0.992263, -0.985491, \
-0.976624, -0.965671, -0.952645, -0.937566, -0.920459, -0.901355, \
-0.880288, -0.857298, -0.832431, -0.805737, -0.777269, -0.747088, \
-0.715256, -0.68184, -0.646913, -0.610549, -0.572828, -0.533831, \
-0.493644, -0.452356, -0.410057, -0.366842, -0.322806, -0.278048, \
-0.232667, -0.186765, -0.140444, -0.0938079, -0.0469617, \
-0.0000101546}
mac = (Abs[
 Subscript[ϕ, a].Subscript[ϕ, x]])^2/((Subscript[ϕ, 
    a].Subscript[ϕ, x]) (Subscript[ϕ, x].Subscript[ϕ, 
    a]))
acoustics
  • 1,709
  • 9
  • 20

1 Answers1

4

With corrected formula mac=...:

mac = (Abs[Subscript[\[Phi], a].Subscript[\[Phi], x]])^2/((Subscript[\[Phi],a].Subscript[\[Phi], a]) (Subscript[\[Phi],x].Subscript[\[Phi], x]))
(* 0.986738*)
Ulrich Neumann
  • 53,729
  • 2
  • 23
  • 55