I try to solve this second order ODE to get k:
$ \frac { \partial }{\partial z} ~ \frac{ \partial } {\partial \bar{z}}~ k[z, \bar{z}] = 5 $
Where z is complex coordinates, so to take the derivative for it, I have used ComplexD function defined in this thread:
What is the best way to define Wirtinger derivatives
So that the solution I have tried:
(* First: take the derivative *)
D[ ComplexD[k[Conjugate[z]], Conjugate[z]], z]
(* the output gives *)
Conjugate’[z] k’’[Conjugate[z]]
(* Second to solve I called Conjugate[z] by x *)
DSolve[ x’ k’’[x] == 5 , k[x], x]
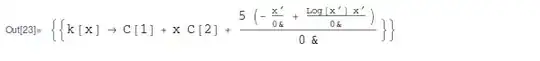
Which gives:
The question :
Are these steps right? Sure there’s a better way for solution, but I don’t want to use
NIntegrate.What does
&mean here ( i know it means pure function, but then what’s the value ofk[x]?How to determine the value of
k[x]for specific values ofC[1]andC[2]?
