Given
where $h =0.5$ and $\kappa = 1$. $G_F(s)$ is the Fourier cosine transform of $G(\lambda)$ defined as
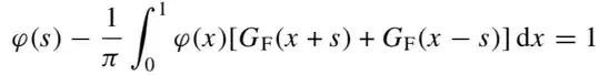
Then I want to solve the following Fredholm integral equation of the second kind for the function $\varphi(s)$ with $s \in [0,1]$:
I follow the Integral equation numerical solution with NDSolve to solve it. The problems I have are that the integrand containing Double Exponential Oscillatory does not converge and the integrand has evaluated to non-numerical values for the integration. See the following code I used. Any suggestion would be greatly appreciated!
ClearAll["Global*'"]
<< FourierSeries`
ν = 0.5;
κ = 3 - 4 ν;
h = 0.1;
G[λ_] := ((2 λ h - 1)^2 + κ^2 +
2 κ E^(-2 λ h))/(
4 (λ h)^2 + 1 + κ^2 + 2 κ Cosh[2 λ h]);
GF[s_] :=
NIntegrate[
G[λ] Cos[λ s], {λ, 0, ∞},
Method -> {"DoubleExponentialOscillatory",
"SymbolicProcessing" -> 0}];
GFc[s_] :=
Sqrt[π/2] NFourierCosTransform[G[λ], λ, s];
n = 20;(*number of discretization*)
a = 0.;
b = 1.0;
lambda = 1./Pi;
Kpart[s_, x_] := GF[x + s] + GF[x - s];
Gpart[s_] := 1.;
φsol =
FredholmKind2[{a, b, lambda, Kpart, Gpart}, n, Method -> NIntegrate]
Options[FredholmKind2] = {Method -> Automatic};
FredholmKind2[{a_, b_, lambda_, k_, g_}, n_?IntegerQ,
OptionsPattern[]] :=
Block[{step, SI, GI, KMatrix, W, DMatrix, f, deltaX, delta},
step = (b - a)/n;
SI = Range[a, b, step];
GI = g /@ SI;
KMatrix = Outer[k, SI, SI];
W = {step/2}~Join~ConstantArray[step, n - 1]~Join~{step/2};
DMatrix = DiagonalMatrix[W];
f = If[OptionValue[Method] === NIntegrate,
deltaX[x_?NumericQ] :=
W.(k[x, #] & /@ SI) -
NIntegrate[k[x, y], {y, a, b}, AccuracyGoal -> 4,
Method -> {"DoubleExponentialOscillatory",
"SymbolicProcessing" -> 0}];
(*If the integral is expensive ParallelMap is an option here*)
delta = deltaX /@ SI;
Interpolation[
Transpose@{SI,
LinearSolve[
IdentityMatrix[n + 1] +
lambda*(DiagonalMatrix[delta] - KMatrix.DMatrix), GI]}],
Interpolation[
Transpose@{SI,
LinearSolve[IdentityMatrix[n + 1] - lambda*(KMatrix.DMatrix),
GI]}]];
f]



