Is it possible to have a grid with DisplayFormulaNumbered in mathematica journal stylesheet so i would have something like this
Asked
Active
Viewed 175 times
1 Answers
1
You can do something like:
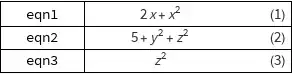
eqns = {"eqn1", "eqn2", "eqn3"};
list = {x^2 + 2 x, y^2 + z^2 + 5, z^2};
Grid[Thread[{eqns, Style[#, "DisplayFormula"] & /@ list,
Item[Style[Row[{"(", #, ")"}], "DisplayFormulaNumbered"], Alignment -> Right] & /@
Range[Length@list]}],
Alignment -> Center, ItemSize -> {{5, 10, 3}},
Dividers -> { {True, True, False, True}, {{True}}}]
kglr
- 394,356
- 18
- 477
- 896
-
Sorry for the late response as i had no access to the computer till now. I tried your suggestion and it messed up the global numbering for equations. The file can be found in here mathematica-journal.com/submit-article. Can you suggest how to fix it? – user49047 Oct 31 '19 at 11:11

