I ran into a system of ordinary differential equations of second order and was puzzled by it for a few days.
It was originally easy to solve, but because the coupling term is second order, it cannot be solved directly by Mma.
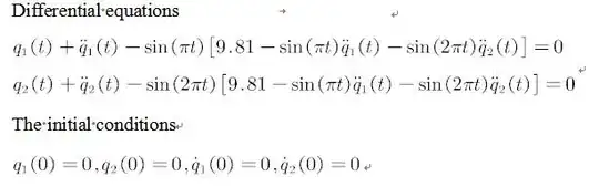
Here's the code I tried
eqs = {q[1]''[t] + q[1][t] -Sin[Pi t] (9.81 - q[1]''[t] Sin[ Pi t] - q[2]''[t] Sin[ 2*Pi t]) == 0 ,
q[2]''[t] + q[2][t] - Sin[2*Pi t] (9.81 - q[1]''[t] Sin[ Pi t] - q[2]''[t] Sin[ 2*Pi t]) == 0}
int = {q[1][0] == 0, q[2][0] == 0, q[1]'[0] == 0, q[2]'[0] == 0};
var = {q[1], q[2]};
exp = eqs~Join~int;
NDSolve[exp, var, {t, 0, 1}]
Infinity::indet: Indeterminate expression 0. ComplexInfinity encountered.
Infinity::indet: Indeterminate expression 0. ComplexInfinity ComplexInfinity encountered.
General::stop: Further output of Infinity::indet will be suppressed during this calculation.
Infinity::indet: Indeterminate expression 0. ComplexInfinity ComplexInfinity encountered.
NDSolve::ndnum: Encountered non-numerical value for a derivative at t == 0.`. I'm not sure if this system can be solved with mma, and I don't know how to solve it. I really hope you can help me.
