You can use the second argument of TreeForm to display and expression to a certain depth, so for your example you could do TreeForm[Nest[1/(1 + #) (1 - #) &, w, 5], 1] (although the result isn't very pretty in this case)

Edit
Instead of using TreeForm you could also construct a graph of the expression using ExpressionTreePlot in the GraphUtilities` package and use that to extract the desired subtree.
Needs["GraphUtilities`"];
exprTree[expr_] :=
Module[{g, edges, labels},
g = ExpressionTreePlot[expr, Top];
edges = Rule @@@ Cases[g, Line[a_] :> a, Infinity][[1]];
labels = Cases[g, Text[a_, b_] :> (b -> a[[1, 1]]), Infinity];
{edges, labels}]
subTree[expr_, d_, pos_: Top] := Module[{edges, labels, sub},
{edges, labels} = exprTree[expr];
sub = NeighborhoodSubgraph[edges, 1, d];
TreePlot[sub, pos, VertexRenderingFunction ->
Function[{p, v},
Text[Framed[Style[v /. labels, FontSize -> 10],
Background -> Lighter[Gray, .8]], p]]]]
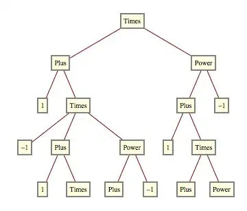
Example:
subTree[Nest[1/(1 + #) (1 - #) &, w, 5], 4]

Here, I've chosen the style of VertexRenderingFunction in the definition of subTree to mimic the style of TreeForm but you could choose you own style for displaying the vertex labels.