I have an expression. I want to change all the Integers to a new form. The rule is, x_Integer->x._f. But we should consider some special cases. For example,
input = 22 + 4/5 x1 x1 x1 + (2 x2^4 + 343 Pi^4)/
Sqrt[67 - x1 x1 x3 x3 + x2^(5/4)] + (4 x1 - x2)^(-3/2 q) +
Exp[-x1 x1 + 4 x2 x2 - 3 x1];
The output expression should be,
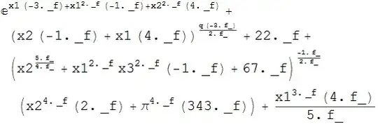
output = 22. _f + E^(-3. _f x1 - x1^(2. _f) + 4. _f x2^(2. _f)) + (
4. _f x1^(3. _f))/(5. _f) + (4. _f x1 - x2)^(-3. _f x3/2. _f) + (
343. _f \[Pi]^(4. _f) + 2. _f x2^(4. _f))/Sqrt[
67. _f + x2^(5. _f/4. _f) - x1^(2. _f) x3^(2. _f)];
So, how to construct the rule function? Thanks!

ReplaceAll[input, x_?IntegerQ -> f[1. x]]? – b.gates.you.know.what Mar 17 '13 at 09:11input /. {Rational[x_, y_] :> Row[{x, ".", Blank[f]}]/Row[{y, ".", Blank[f]}], x_?NumberQ :> Row[{x, ".", Blank[f]}]}? – kglr Mar 17 '13 at 09:28