3

ice cream cone

How might I recreate this ice cream using Plot3D given:

cone = sqrt(x^2 + y^2)

and below the spherical cap:
x^2 + y^2 + z^2 = 50

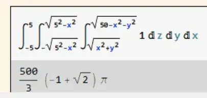
Double Integral and Evaluation

J. M.'s missing motivation
  • 124,525
  • 11
  • 401
  • 574
  • is there a variation of this without contour but only using Plot3D etc. – Rjackson219 Mar 23 '20 at 05:56
  • I'm sorry, but I just sawthe text before only. – uC-Harry Mar 23 '20 at 09:06
  • This is a type of often asked question. Nice concept is probable this: [https://mathematica.stackexchange.com/questions/69831/moving-polygon-on-path-curve-to-create-3d-shape/69969#69969]. Solution is Show[Graphics3D[{Yellow, Cone[{{0, 0, 1}, {0, 0, 0}}, 1]}], Plot3D[Sqrt[1 - x^2 - y^2] + 1, {x, -2, 2}, {y, -2, 2}, RegionFunction -> Function[{x, y, z}, x^2 + y^2 <= 1], Mesh -> 8, BoxRatios -> Automatic, MeshShading -> {{Yellow, Orange}, {Pink, Red}}]] or use Plot3D[Sqrt[x^2 + y^2], {x, -1, 1}, {y, -1, 1}, PlotRange -> {0, 1}] for the cone. – Steffen Jaeschke Mar 23 '20 at 09:10

1 Answers1

1
Plot3D[{2*Sqrt[x^2 + y^2]-4, Sqrt[4 - x^2 - y^2]}, {x, -2, 2}, {y, -2, 2},
 BoxRatios -> {1, 1, 2}]
uC-Harry
  • 239
  • 1
  • 5