Mathematica has built-ins.
So one path is
polarGrad[f_] :=
Block[{r, th, grad, rot, assume},
assume = CoordinateChartData["Polar",
"CoordinateRangeAssumptions"][{r, th}];
rot = CoordinateTransformData["Polar" -> "Cartesian",
"OrthonormalBasisRotation", {r, th}];
grad = Grad[f[r, th], {r, th}, "Polar"];
grad = CoordinateTransform["Cartesian" -> "Polar",
Transpose[rot].grad];
Simplify[grad, assume]]
Assuming[V'[r] > 0, polarGrad[Function[{r, th}, V[r]]]]
{V'[r], th}
polarGrad[Function[{r, th}, r Sin[th]]]
That is already answered to another question on stackexchange.com.
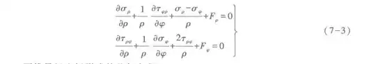
Following the given formula ()+=0:
Div[{f[r, θ], g[r, θ]}, {r, θ}, "Polar"]

with σ[r, θ] = {f[r, θ], g[r, θ]}
an example is already in the documentation of Div
Div[{r Sin[θ], -r Cos[θ]}, {r, θ}, "Polar"]
3 Sin[θ]
Mind the representation of the force F is F_r e_r + F_Theta e_Theta.
The polar unit vector are local and take away usually parts of the r and Theta dependence from the representation of the force in different coordinate systems.
The divergence can be calculated from rank 2 tensors in a similar fashion.
Div[{{x y, x y^2, x y^3}, {x^2 y, x^2 y^2, x^2 y^3}, {x^3 y, x^3 y^2,
x^3 y^3}}, {x, y, z}]
{y + 2 x y, 2 x y + 2 x^2 y, 3 x^2 y + 2 x^3 y}
Since this question targets polar coordinates we calculate this task for a 2 x 2 matrix
{{x y, x y^2}, {x^2 y, x^2 y^2}}
transform the functions in the matrix elements with
x= r Sin[Theta]
y= r Cos[Theta]
{{r^2 Sin[Theta]Cos[Theta], r^3 Sin[Theta]Cos[Theta]^2}, {r^3 Sin[Theta^2]Cos[Theta], r^4 Sin[Theta]^2Cos[Theta]^2}}
Now apply the Div in polar coordinates to this matrix:
Div[{{r^2 Sin[Theta] Cos[Theta],
r^3 Sin[Theta] Cos[Theta]^2}, {r^3 Sin[Theta^2] Cos[Theta],
r^4 Sin[Theta]^2 Cos[Theta]^2}}, {r, θ}, "Polar"]
{2 r Cos[Theta] Sin[Theta] + (
r^2 Cos[Theta] Sin[Theta] - r^4 Cos[Theta]^2 Sin[Theta]^2)/r,
3 r^2 Cos[Theta] Sin[Theta^2] + (
r^3 Cos[Theta]^2 Sin[Theta] + r^3 Cos[Theta] Sin[Theta^2])/r}
This has to be equal to the resulting matrix in cartesian coordinates.
Div[{{x y, x y^2}, {x^2 y, x^2 y^2}}, {x, y}]
{y + 2 x y, 2 x y + 2 x^2 y}
This transformation to be applied makes use of the afore mention unit vector representation. Both are equal. {Sin[Theta],Cos[Theta]} for e_r and {Cos[Theta],-Sin[Theta]} for e_Theta.
TransformedField[
"Polar" ->
"Cartesian", {2 r Cos[θ] Sin[θ] + (r^2 Cos[θ] \
Sin[θ] - r^4 Cos[θ]^2 Sin[θ]^2)/r,
3 r^2 Cos[θ] Sin[θ^2] + (r^3 Cos[θ]^2 Sin[\
θ] + r^3 Cos[θ] Sin[θ^2])/
r}, {r, θ} -> {x, y}] // FullSimplify

This question is about path integrals. These are essential for the concept of the divergence:
line-integration-given-tangent-vector.
Mathematica does all its computations in an orthonormal basis. You simply need to specify what coordinate system you're working in. So for your example, you just multiply by {0, 0, 1}:
e[r_, θ_, ϕ_, t_] := (Sin[θ]/r)[Cos[r - t] - Sin[r - t]/r] {0, 0, 1}
Apparently this is a pure wave in vacuum, as the divergence is zero:
Div[e[r, θ, ϕ, t], {r, θ, ϕ}, "Spherical"]
0
Similarly, a pure Coulomb electric field would be
col[r_, θ_, ϕ_] := {1/r^2, 0, 0}
Div[col[r, θ, ϕ], {r, θ, ϕ}, "Spherical"]
0
I suggest you look at the tutorials tutorial/VectorAnalysis and tutorial/ChangingCoordinateSystems and the functions linked therefrom for more.
The built-in CoordinateTransformData holds all the data of interest.
The built-in TransformedField is a nice tool to the tedious calculations' interest.
Polar coordinates have advantages if
a) the problem is two dimensional,
b) the symmetry is easily mappableenter link description here to this
Show[Table[
PolarPlot[r, {θ, -π, π}], {r, 0.1, 1., 0.1}],
ListPolarPlot[Table[Table[{m π/3, n/125}, {n, 125}], {m, 0, 5}]]]

These are interesting if
CoordinateTransformData[
"Cartesian" -> "Polar", "MappingJacobianDeterminant", {x, y}]
1/Sqrt[x^2 + y^2]
is advantageous and not a problem.
To work on a fruitful common basis with the formulas for plane stress I suggest this ElasticityBVP.