This solution is not perfect, but I will throw it out there anyway in case anyone has an interest to improve it.
Use separation of variables
Clear["Global`*"]
Work on the T equation first
pde = D[T[r, z], r, r] + (1/r)*D[T[r, z], r] + D[T[r, z], z, z] == 0
Separation by multiples
T[r_, z_] = R[r] Z[z]
pde/T[r, z] // Expand
(*R''[r]/R[r] + R''[r]/(r R[r]) + Z''[z]/Z[z] == 0*)
Choose the z equation such that it is sinusoidal in z due to the given boundary conditions.
zeq = Z''[z]/Z[z] == -a^2
DSolve[zeq, Z[z], z] // Flatten
Z[z_] = Z[z] /. % /. {C[1] -> c1, C[2] -> c2}
(*c1 Cos[a z] + c2 Sin[a z]*)
Now the R equation
req = R''[r]/R[r] + R'[r]/(r R[r]) == a^2
DSolve[req, R[r], r] // Flatten
R[r_] = (R[r] /. % /. {C[1] -> c3, C[2] -> c4})
(*c3 BesselJ[0, I a r] + c4 BesselY[0, -I a r]*)
I don't know why Mathematica always insists on complex solutions for this equation. Convert by:
FullSimplify[FunctionExpand[R[r], r > 0]] // Collect[#, BesselI[0, a r]] &
Consolidate constants
R[r_] = % /. {Coefficient[%, BesselI[0, a r]] -> c3, Coefficient[%, BesselK[0, a r]] -> c4}
(*c3 BesselI[0, a r] + c4 BesselK[0, a r]*)
As usual with the diffusivity equation we don't have enough pieces with separation by multiplication.
Now separate by addition.
T[r_, z_] = Rp[r] + Zp[z]
pde
(*Rp''[r] + Rp'[r]/r + Zp''[z] == 0*)
zpeq = Zp''[z] == b
DSolve[zpeq, Zp[z], z] // Flatten
Zp[z_] = Zp[z] /. % /. {C[1] -> c5, C[2] -> c6}
(*(b z^2)/2 + c5 + c6 z*)
rpeq = Rp''[r] + Rp'[r]/r + b == 0
DSolve[rpeq, Rp[r], r] // Flatten
Rp[r_] = Rp[r] /. % /. {C[1] -> c7, C[2] -> 0}
(*c7 Log[r] - (b r^2)/4*)
I chose C[1] to be zero because we don't need two constant terms.
Put it all together:
T[r_, z_] = R[r] Z[z] + Rp[r] + Zp[z]
(c1 Cos[a z] + c2 Sin[a z]) (c3 BesselI[0, a r] + c4 BesselK[0, a r]) - (b r^2)/4 + (b z^2)/2 + c5 + c6 z + c7 Log[r]
Check
pde // FullSimplify
(*True*)
Apply the boundary conditions
(D[T[r, z], z] /. z -> 0) == 0
(*a c2 (c3 BesselI[0, a r] + c4 BesselK[0, a r]) + c6 == 0*)
so
c2 = 0
c6 = 0
and consolidate constants
c1 = 1
(D[T[r, z], z] /. z -> L) == 0
(*b L - a Sin[a L] (c3 BesselI[0, a r] + c4 BesselK[0, a r]) == 0*)
from which
b = 0
and to make the Sin zero:
a = (n π)/L
with
$Assumptions = n ∈ Integers
T becomes an infinite series in n, but we will leave off the sum for now so MMa won't constantly try to evaluate it.
(D[T[r, z], r] /. r -> r2) == γ
(*Cos[(π n z)/L] ((π c3 n BesselI[1, (n π r2)/L])/L - (π c4 n BesselK[1, (n π r2)/L])/L) + c7/r2 == γ*)
We can satisfy by
c4 = c4 /. Solve[Coefficient[%[[1]], Cos[(\[Pi] n z)/L]] == 0, c4][[1]]
(*(c3 BesselI[1, (n π r2)/L])/BesselK[1, (n π r2)/L]*)
and
c7 = c7 /. Solve[c7/r2 == γ, c7][[1]]
(*γ r2*)
T[r, z] // Collect[#, c3] &
Check out the solution when n = 0. BesselK is unbounded with zero arguments, so take the limit.
Limit[T[r, z], n -> 0]
(*c3 + c5 + γ r2 Log[r]*)
Note that c5 is the equivalent c3 constant when n = 0 in the Fourier series.
We only need to keep one of them, so for n = 0
T0[r_, z_] = % /. c3 -> 0
For general n
Tn[r_, z_] = T[r, z] - T0[r, z] // Simplify
Now work on the differential equation for t.
pdet = (t'[z] + α (t[z] - T[r1, z]) == 0)
General n
pde2 = (tn'[z] + α (tn[z] - Tn[r1, z]) == 0)
(DSolve[pde2, tn[z], z] // Flatten)
tn[z_] = (tn[z] /. % /. C[1] -> c8)
The outputs are getting a little long to show here.
For n = 0
pde20 = t0'[z] + α (t0[z] - T0[r1, z]) == 0
DSolve[pde20, t0[z], z] // Flatten
t0[z_] = t0[z] /. % /. C[1] -> c80
(*c5 + c80 E^(α (-z)) + γ r2 Log[r1]*)
Now apply the initial condition t[0] == tin
Do this by setting the part contain n to zero, and set the constant part to tin.
c8 = c8 /. Solve[tn[0] == 0, c8][[1]]
c80 = c80 /. Solve[t0[0] == tin, c80][[1]]
tn[z_] = tn[z] // Simplify
t0[z] // Simplify
t[z_] = t0[z] + tn[z]
where it is understood that the part containing n is the sum over n from 1 to infinity.
Check the t solution.
pdet // Simplify
(*True*)
Apply the final bc on general n and n = 0 separately using the orthogonality of Cos[(π n z)/L]. The final boundary condition.
bcf = (D[T[r, z], r] /. r -> r1) == β (T[r1, z] - t[z])
For n = 0
Limit[bcf[[1]], n -> 0]
(*(γ r2)/r1*)
Limit[bcf[[2]], n -> 0]
(*β E^(α (-z)) (c3 + c5 + γ r2 Log[r1] - tin)*)
Again, c5 is just the constant term in the fourier series when n = 0, so we don't need both it and c3.
bcfn0 = % == %% /. c5 + c3 -> c30
(*β E^(α (-z)) (c30 + γ r2 Log[r1] - tin) == (γ r2)/r1*)
Use orthogonality
Integrate[bcfn0[[1]], {z, 0, L}] == Integrate[bcfn0[[2]], {z, 0, L}]
c5 = c30 /. Solve[%, c30][[1]] // Simplify
General n
ortheq = Integrate[bcf[[1]]*Cos[(n*Pi*z)/L], {z, 0, L}] == Integrate[bcf[[2]]*Cos[(n*Pi*z)/L], {z, 0, L}]
c3 = c3 /. Solve[%, c3][[1]] // Simplify
Simplify everything.
t0[z_] = t0[z] // Simplify
tn[z_] = tn[z] // Simplify
T0[r_, z_] = T0[r, z] // Simplify
Tn[r_, z] = Tn[r, z] // Simplify
Plug in numbers
α = 1/10;
β = 1/10;
γ = 1;
tin = 1;
L = 10;
r1 = 1;
r2 = 2;
I am using exact numbers so I can use lots of terms in the Fourier series if necessary.
For calculation, add an additional argument used for the number of terms in the series.
T[r_, z_, mm_] := T0[r, z] + Sum[Tn[r, z], {n, 1, mm}]
t[z_, mm_] := t0[z] + Sum[tn[z], {n, 1, mm}]
Of course mm should actually be infinity, but we will use a finite series for calculation.
And the derivatives
dtdz[Z_, mm_] := (D[t0[z], z] /. z -> Z) + Sum[D[tn[z], z] /. z -> Z, {n, 1, mm}]
dTdr[R_, z_, mm_] := (D[T0[r, z], r] /. r -> R) + Sum[D[Tn[r, z], r] /. r -> R, {n, 1, mm}]
dTdz[r_, Z_, mm_] := (D[T0[r, z], z] /. z -> Z) + Sum[D[Tn[r, z], z] /. z -> Z, {n, 1, mm}]
Compiling the expressions will speed up the calculations, but compiling is limited to machine precision values. For checking I don't want that restriction.
Make some plots.
T at a few values of z
Plot[{Evaluate[T[r, 0, 50]], Evaluate[T[r, L/2, 50]], Evaluate[T[r, L, 50]]}, {r, r1, r2}]

Plot3D[Evaluate[T[r, z, 50]], {r, r1, r2}, {z, 0, L}, PlotRange -> All]

Check
t[0] == tin
(*True*)
Plot of t
Plot[Evaluate[t[z, 50]], {z, 0, L}]

The t pde
Steps = 200
Plot[Evaluate[dtdz[z, Steps] + α (t[z, Steps] - T[r1, z, Steps])], {z, 0, L}, PlotRange -> All]

Pretty close to zero.
The boundary at r2.
Plot[Evaluate[dTdr[r, z, 20] /. r -> r2] - γ, {z, 0, L}]

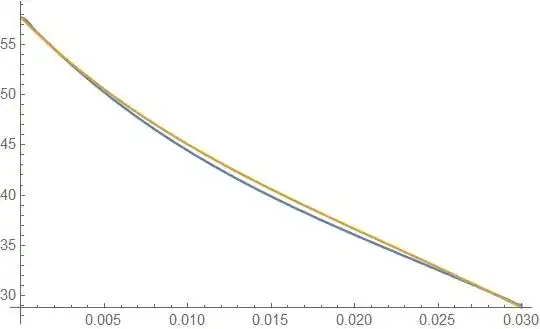
The final boundary condition.
Plot[{Evaluate[dTdr[r, z, 50] /. r -> r1],
Evaluate[β (T[r1, z, 50] - t[z, 50])]}, {z, 0, L},
PlotRange -> {1.5, 2.8}]

All the other checks are good, but these two plots should lie on top of each other. And while they are not way off, I think the difference is too large to just be numerical error.
I invite anyone with an interest in this type of problem to review this solution for improvement.