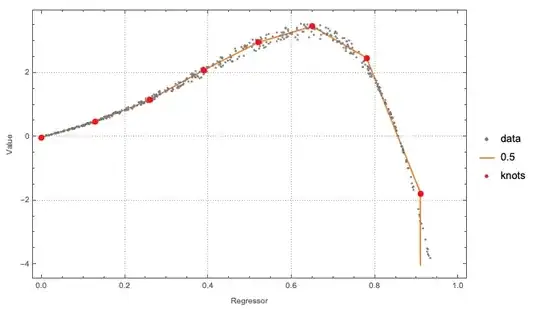
Looking for a methodology to choose line segments that are a rough fit to a given set of data. In this example, the data are {x,y} pairs. For example, if the data looked like what is shown on the left, then would like to find a few line segments that go through the data, as shown on the right.
- line segments are required – curves will not work with other parts of the system
- line segments are continuous, so that the end of one line segment is the beginning of the next.
- the number of line segments is arbitrary – chosen either by the user or by an improved algorithm
A methodology that works is shown below. Any recommendations for other methods that might be more general or more efficient would be appreciated.
The methodology below uses FixedPoint and FindMinimum. At the inner level, it uses FindMinimum to determine new y-values for pairs of points, starting with the points 1 and 2, proceeding to points 2 and 3, and ending with points n-1 and n. At the outer level, the methodology below uses FixedPoint to repeat this process or stop after the maximum number of iterations is reached. The methodology below pushes the following responsibilities to the user:
- number of points to use for the line segments
- x-value for each point
- range of x and y values (though this could easily be automated)
Seeking suggestions about other approaches or improvements to what is shown below. Thanks!
(*problem definition*)
ptsData = {N@#,
N@((-3.5 #^2 + 3 #) Exp[3 #] ) (1 +
RandomReal[{-0.075, +0.075}])} & /@ RandomReal[{0, 1}, 500];
xyStart = {#, 0} & /@ {0, 0.2, 0.5, 0.6, 0.75, 0.85, 0.95, 1.0};
xRange = {0, 1};
yRange = {-20, 10};
(*analysis*)
xyNew = findNewYvaluesFromData[ptsData, xRange, yRange, xyStart, 10]
(*results*)
ListPlot[ ptsData, PlotRange -> { Automatic, {-5, 5} },
Epilog -> {Orange, AbsoluteThickness[2], AbsolutePointSize[5],
Line[xyNew] , Red, Point[xyNew]}]
And below is the methodology implemented thus far
Clear[findNewYvaluesFromData]
(*repeatdly improve y values in the list xyIn, until convergence or \
maximum number of iterations, nIts*)
findNewYvaluesFromData[
xyData_, {xminIn_, xmaxIn_}, {yminIn_, ymaxIn_}, xyIn_, nIts_] :=
FixedPoint[
findNewYvaluesFromData[
xyData, {xminIn, xmaxIn}, {yminIn, ymaxIn}, #] &, xyIn, nIts]
(improve y values in the list xyIn, by minimizing the deviation
between xyData and a linear interpolation of the list xyIn)
findNewYvaluesFromData[
xyData_, {xminIn_, xmaxIn_}, {yminIn_, ymaxIn_}, xyIn_] :=
Fold[update2YvaluesFromData[
xyData, {xminIn, xmaxIn}, {yminIn, ymaxIn}, #1, #2 ] &, xyIn,
makePairsij[Range@Length@xyIn] ]
Clear[update2YvaluesFromData]
(improve y values at postions i,j in the list xyIn )
(y values are improved by comparing a linear interpolation of the
list xyIn with xyData )
(FindMinimum is used to determine the improved y values.)
update2YvaluesFromData[
xyData_, {xminIn_, xmaxIn_}, {yminIn_, ymaxIn_}, xyIn_, {i_, j_}] :=
Module[{xyNew, r, yi, yj},
r = FindMinimum[
avgErr2YvaluesFromData[xyData, {xminIn, xmaxIn}, xyIn, {i, j},
yi, yj], {yi, xyIn[[i, 2]], yminIn, ymaxIn}, {yj, xyIn[[j, 2]],
yminIn, ymaxIn}, AccuracyGoal -> 2 , PrecisionGoal -> 2];
xyNew = xyIn;
xyNew[[i, 2]] = yi /. r[[2]];
xyNew[[j, 2]] = yj /. r[[2]];
xyNew
]
Clear[avgErr2YvaluesFromData]
(compare xyData with a linear interpolation function over the range
[xmin, xmax] )
(linear interpolation function uses xyIn with y values replaced at
positions i and j )
avgErr2YvaluesFromData[xyData_, {xminIn_, xmaxIn_}, xyIn_, {i_, j_},
yi_?NumericQ, yj_?NumericQ] := Module[{xyNew, fLin, sum, x},
xyNew = xyPairsUpdate[xyIn, {xminIn, xmaxIn}, {i, j}, yi, yj];
fLin = Interpolation[xyNew, InterpolationOrder -> 1];
Fold[#1 + Abs[Last@#2 - fLin[First@#2 ] ] &, 0, xyData] /
Max[1, Length@ xyData]
]
Clear[makePairsij]
(choose adjacent pairs from a list )
(makePairsij[list_] := {list[[#]], list[[#+1]]} & /@
Range[Length@list - 1])
makePairsij[list_] :=
ListConvolve[{1, 1}, list, {-1, 1}, {}, #2 &, List]
Clear[xyPairsUpdate]
(prepare xyV list for Interpolation function)
(1) ensure that there is a point at xmin and xmax)
(2) remove duplicates)
xyPairsUpdate[xyV_, {xminIn_, xmaxIn_}, {i_, j_}, yi_, yj_] :=
Module[{xyNew},
(to do: remove duplicate values)
xyNew = Sort[xyV];
xyNew = DeleteDuplicates[xyNew, Abs[First@#1 - First@#2] < 0.0001 &];
xyNew[[i, 2]] = yi;
xyNew[[j, 2]] = yj;
xyNew =
If[xminIn < xyNew[[1, 1]],
Prepend[xyNew, {xminIn, xyNew[[1, 2]]}], xyNew];
xyNew =
If[xmaxIn > xyNew[[-1, 1]],
Append[xyNew, {xmaxIn, xyNew[[-1, 2]]}], xyNew];
xyNew
]
Clear[xyPairsCheck]
(prepare xyV list for Interpolation function)
(1) ensure that there is a point at xmin and xmax)
(2) remove duplicates)
xyPairsCheck[xyV_, {xminIn_, xmaxIn_}, {i_, j_}] := Module[{xyNew},
(to do: remove duplicate values)
xyNew = Sort[xyV];
xyNew = DeleteDuplicates[xyNew, Abs[First@#1 - First@#2] < 0.0001 &];
xyNew
]






Rampnonlinearities. See the first example in this blog post. – Sjoerd Smit Oct 02 '20 at 15:47Rampnonlinearities." Elegant? Yes. Appropriate? Yes. Should be done more? Yes. Easy? No way. Easy to explain to someone else without an expert handy? I don't think so. – JimB Oct 02 '20 at 17:17