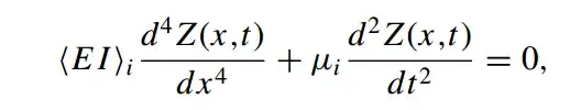
So I am new to Mathematica and am trying to solve the euler-bernoulli modal equation for a U-shaped Cantilever beam given by equations :-
where i is the index of the region. In total there are 2 regions, each with its own EI and mu values respectively. Region 1 spans from x = 0 to x = Lleg and region 2 spans from x = Lleg to x = L. The solution is given by the expression :-
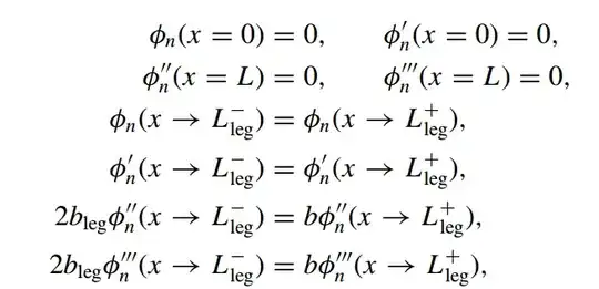
and the boundary conditions are as follows :-
I know mathematica has NDEigensystem function which can help me with this but I don't know how to use it correctly.
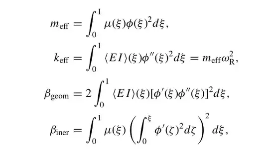
Edit :- I would also Like to develop an analytical expression of Phi(x) as a function of x for the 2 regions since I need to integrate that expression to obtain some discrete parameters as follows :-
The code block is as follows :-
EAu = 78*10^9; (*Youngs Modulus of Gold*)
ESiN = 250*10^9; (*Youngs Modulus of Silicon Nitride*)
rhoAu = 19300; (*Density of Gold*)
rhoSiN = 3440; (*Density of Silicon Nitride*)
b11 =1.5; (*width of gold, section I*)
b12 = 4.5; (*width of gold, section II*)
b21 = b11; (*width of SiN, section I*)
b22 = b12; (*width of SiN, section II*)
h11 = 20*10^(-3); (*height of gold, section I*)
h21 = 510*10^(-3); (*height of SiN, section I*)
h12 = h11; (*height of gold, section II*)
h22 = h21; (*height of SiN, section II*)
IAu1 =(1/12)*b11*h11^3; (*2nd Moment of Area, gold, section I, about the center*)
IAu2 = (1/12)*b12*h12^3; (*2nd Moment of Area, gold, section II, about the center*)
ISiN1= (1/12)*b21*h21^3; (*2nd Moment of Area, SiN, section I, about the center*)
ISiN2 = (1/12)*b22*h22^3; (*2nd Moment of Area, SiN, section II, about the center*)
EIsys1 = 2EAu(IAu1 + b11h11(0.5(h11+h21)-0.5h11)^2) + 2ESiN(ISiN1 + b21h21(0.5(h11+h21)-0.5h21)^2)
EIsys2 = EAu(IAu2 + b12h12(0.5(h12+h22)-0.5h12)^2) + ESiN(ISiN2 + b22h22(0.5(h12+h22)-0.5h22)^2)
musys1 = 2rhoAub11h11 + 2rhoSiNb21h21 (mass per unit length, section I)
musys2 = rhoAub12h12 + rhoSiNb22h22 (mass per unit length, section II)
AR = 5; (Input Value, Aspect Ratio of Beam)
L = ARb12 (Length of Beam, total)
Lleg = ARb11 (Length of Beam, Section I)
EIL = EIsys1
EIR = EIsys2
[Mu]L = musys1
[Mu]R = musys2
bleg = b11
b = b12
m = Lleg
eqnL = EIL [Phi]L''''[x] - [Mu]L ([Omega]^2) [Phi]L[x] == 0
eqnR = EIR [Phi]R''''[x] - [Mu]R ([Omega]^2) [Phi]R[x] == 0
bcs = {[Phi]L[0] == 0, [Phi]L'[0] == 0,
[Phi]L[m] == [Phi]R[m], [Phi]L'[m] == [Phi]R'[m],
2 bleg [Phi]L''[m] == b [Phi]R''[m], 2 bleg [Phi]L'''[m] == b [Phi]R'''[m],
[Phi]R''[L] == 0, [Phi]R'''[L] == 0}






NDEigensystem. – yarchik Oct 08 '20 at 15:31