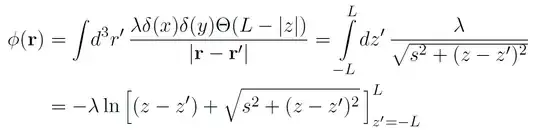
I am completely new in Mathematica "programming" language. At the university in Electrodynamics, we have gotten a homework to visualise the equipotential surfaces with function ContourPlot3D. I have been able to get the matematical expression for such surface, the equation should be seen on the picture. My lastest try to write the function has been:
ContourPlot3D[
log (((L/2 + x) + ((((((L/2) + x)^(2)) + ((y)^(2))))^(1/2)))/((-L/2 +
x) + ((((((-L/2) + x)^(2)) + ((y)^(2))))^(1/2)))) ==
0, {x, -2, 2}, {y, -2, 2}, {z, -2, 2}]
or
ContourPlot3D[(
ln (((1/2 +
x) + ((((((1/2) + x)^(2)) + ((y)^(2))))^(1/2)))/((-1/2 +
x) + ((((((-1/2) + x)^(2)) + ((y)^(2))))^(1/2))))) ==
0, {x, -2, 2}, {y, -2, 2}, {z, -2, 2}]
Although I have resigned on any parameters and only the variables stayed, still I can not plot the function. Could anyone to look, where I do a mistake. In all cases is the syntax error, that "more input needed", but I don't know, what more I should define.

Logare called using square brackets, so you'd want to useLog[....] == 0– b3m2a1 Oct 19 '20 at 21:08ContourPlot3D(without knowing proper ranges and contours) I would strongly recommend usingPlotfor fixed x and y orPlot3Dfor fixed y or x to get a feeling for the potential at hand. For this potentialContourPlotwill most definitely be the more insightful thenContourPlot3D, since the potential is axis-symmetric. Further the result for the integral does not hold for arbitrary x, y, and z. – N0va Oct 19 '20 at 21:52ContourPlot3D[(Log@(((1/2 + x) + ((((((1/2) + x)^(2)) + ((y)^(2))))^(1/2)))/((-1/2 + x) + ((((((-1/2) + x)^(2)) + ((y)^(2))))^(1/2))))), {x, -2, 2}, {y, -2, 2}, {z, -2, 2}]– cvgmt Oct 19 '20 at 23:15