Consider a PDE $$ \tag 1 \frac{\partial f_{n}}{\partial t}- \frac{1}{2t}E\frac{\partial f_{n}}{\partial E} = 0 $$ I choose the initial condition $f_{n}(E, t_{0}) = e^{-E/T_{0}}$, where $T_{0}$ is some constant (plus the boundary condition $f_{n}(E_{max},t) = 0$ for some large $E_{max}$).
Eq. (1) may be transformed into a trivial ODE by performing a change of variables. For the given initial condition, the $f_{n}(E,t)$ is $$ \tag 2 f_{n}(E,t) = e^{-E/(T_{0}\sqrt{t0/t})} $$ I want to obtain this result by solving the PDE. This is my code: first, I discretize the E domain, then turn the PDE into ODE by discretizing the derivative, and then solve the set of ODEs:
imax = 500;
t0 = 0.1;
(*E grid*)
DEvalue = 0.05;
Emin = 0.01;
tmax = 4;
EStep[k_, DE_] = Emin + DE*k;
(*Discretization of the derivative*)
fnEnDerivative[i_] =
If[i != imax, (fn[i + 1][t] - fn[i][t])/DEvalue, -fn[imax][t]/
DEvalue];
Tt[t_]=0.84/Sqrt[t];
(*Table with equations, initial conditions and functions*)
InitialConditionTable =
Join[{Tg[t0] == Tt[t0]},
Table[fn[i][t0] == Exp[-(EStep[i, DEvalue]/Tt[t0])], {i, 0, imax,
1}]];
functionsTable = Table[fn[i], {i, 0, imax, 1}];
EquationsTable =
Table[fn[i]'[t] -
1/(2*t)*EStep[i, DEvalue]*
fnEnDerivative[i]== 0, {i, 0,
imax, 1}];
sol = NDSolve[{EquationsTable, InitialConditionTable},
functionsTable, {t, t0, tmax},
Method -> {"EquationSimplification" -> "Solve"}][[1]];
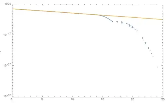
After obtaining the solution, I compare the behavior of the exact solution $(2)$ and the numerical solution. I found a discrepancy due to low precision:
fnv[t_] :=
Table[{EStep[i, DEvalue], (fn[i] /. sol)[t]}, {i, 1, imax, 1}]
BoltzmannDistrDiscrete[t_] :=
Table[{EStep[i, DEvalue], Exp[-EStep[i, DEvalue]/Tt[t]]}, {i, 1,
imax, 1}]
ListLogPlot[{fnv[0.3], BoltzmannDistrDiscrete[0.3]},
PlotRange -> {{0.003, 25}, All}, Joined -> True, Frame -> True,
ImageSize -> Large]
Improving Accuracy/Precision Goals does not help. For example, with PrecisionGoal ->30 I get this:

Could you please help me with how to resolve this problem?



tmaxis missing. Then, you don't directly solve the PDE withNDSolve, is it kind of practice? Anyway, 1. Rule of thumb: if something is wrong with PDE solving, aside from simple mistakes, it's almost always because of improper spatial discretization, the ODE solver should always be the last thing to tackle. 2. As toAccuracyGoalandPrecisionGoal, you may want to read this: https://mathematica.stackexchange.com/q/118249/1871 – xzczd Nov 06 '20 at 02:32