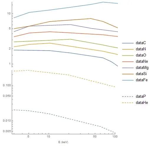
I need to plot data that are distributed over many orders of magnitude, natural ListLogLogPlot gets too cluttered, so I decided to split the y-axis in two following this answer, but now I do not know how to add a legend. How do I add it?
Here are data and code:
dataP = {{3, 0.0204`}, {5, 0.0193`}, {10, 0.0159`}, {60,
0.0069`}, {100, 0.0046`}};
dataHe = {{3, 0.255`}, {5, 0.266`}, {20, 0.1976`}, {40, 0.1408`}, {60,
0.1161`}, {100, 0.091`}};
dataC = {{3, 1.892`}, {10, 1.847`}, {20, 1.661`}, {60, 1.329`}, {80,
1.11`}, {100, 0.902`}};
dataN = {{3, 2.207`}, {5, 2.455`}, {10, 2.601`}, {60, 1.796`}, {100,
1.543`}};
dataO = {{3, 2.753`}, {10, 2.961`}, {20, 3.107`}, {60, 2.393`}, {80,
2.201`}, {100, 2.089`}};
dataNe = {{3, 3.49`}, {5, 4.131`}, {10, 4.375`}, {20, 4.159`}, {60,
3.811`}, {100, 3.512`}};
dataMg = {{3, 4.413`}, {5, 5.656`}, {20, 6.078`}, {40, 5.121`}, {100,
4.368`}};
dataSi = {{3, 5.043`}, {5, 5.65`}, {10, 6.978`}, {40, 7.997`}, {60,
7.006`}, {100, 5.189`}};
dataFe = {{3, 8.306`}, {5, 10.585`}, {10, 11.817`}, {20,
13.387`}, {40, 15.266`}, {60, 16.971`}, {100, 15.963`}};
snip[pos_] :=
Arrowheads[{{Automatic, pos,
Graphics[{BezierCurve[{{0, -(1/2)}, {1/2, 0}, {-(1/2), 0}, {0,
1/2}}]}]}}];
getMaxPadding[p_List] :=
Map[Max, (BorderDimensions@
Image[Show[#, LabelStyle -> White, Background -> White]] & /@
p)~Flatten~{{3}, {2}}, {2}] + 1
p1 = ListLogLogPlot[{dataP, dataHe}, PlotRange -> All, Joined -> True,
AxesStyle -> {None, snip[1]}, PlotRangePadding -> None,
ImagePadding -> {{40, 10}, {40, 5}}, PlotStyle -> Dashed,
Frame -> {{True, False}, {True, False}},
FrameLabel -> {"E (keV)", None}];
p2 = ListLogLogPlot[{dataC, dataN, dataO, dataNe, dataMg, dataSi,
dataFe}, PlotRange -> All, Joined -> True, Axes -> {False, True},
AxesStyle -> {None, snip[0]}, PlotRangePadding -> None,
ImagePadding -> {{40, 0}, {0, 5}},
Frame -> {{True, False}, {False, False}}];
Column[{p2, p1} /.
Graphics[x__] :>
Graphics[x, ImagePadding -> getMaxPadding[{p1, p2}],
ImageSize -> 400]]

