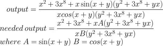
I am deriving an expression and the output of it is a very long mathematical expression. I want to minimize the equation by substituting some other variables. For example:
This is just an example equation, is it possible for mathematica to automatically do this?
ReplaceandReplaceAll. An example using the latter would beoutput /. {Sin[x + y] -> a, Cos[x + y] -> b}. – Natas Nov 12 '20 at 17:54