I am studying a recursion below:
$$B_{N,0}=1$$
$$B_{N,k}=-\binom{N+k}{k}^{-1}\sum_{j=0}^{k-1}\binom{N+k}{j}B_{N,j}$$
Now I'm not great at writing in Mathematica. It's been a while since I've used it. So I looked up some old work and came across this method in Mathematica; it's a "memory" property in the code, or thats how I remember it being described to me. So I did it, and wrote the code below.
B[0]=1
B[k]=B[k_]:=Simplify[-1/(Binomial[N+k,k])Sum[Binomial[N+k,j]B[j]],{j,0,k-1}]
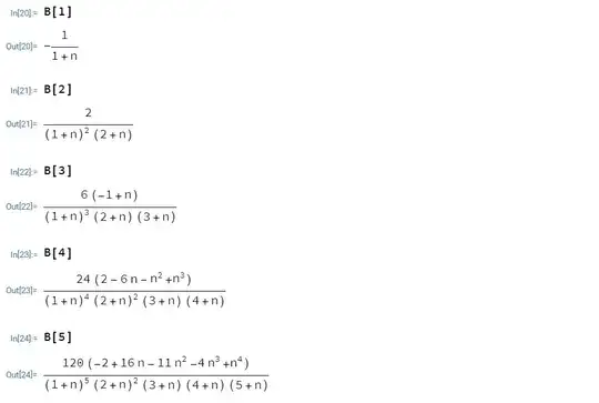
ANd it works! Just not great. So I get the first four or five pretty nicely. These are rational functions in the variable $N$. So the first 5, are posted below (I used Imgur, sorry)
But then, the code breaks. I'm sure the recursion gets too difficult as the required computation is getting large. The next two numbers are given as (again, sorry for image)
And so here's the question. How can I get it so that the 6th B[6], 7th B[7], ..., kth number B[k], are written or outputted in the elegant factored form as in the previous 5, without that clunky Binomial function in the denominator? I'm interested in the distribution of the denominator's factorization.
![B[k]](../../images/1e3b6738e28efad70ddded95823c9139.webp)
Functions That Remember Values They Have Found](https : // reference.wolframcloud.com/language/tutorial/ TransformationRulesAndDefinitions.html #202640595) – Bob Hanlon Nov 24 '20 at 04:38