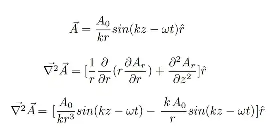
I am using Mathematica 12.1.1 and am unable to get the correct result for a simple laplacian in 3D Cylindrical Coordinates. I want to reproduce the following result on Mathematica:
But, I am only getting the second term from the above result. Here's the code I am using:
APotential = {A0/(k r) Sin[k z - ω t], 0, 0};
Laplacian[APotential, {r, θ, z}, "Cylindrical"]
(* OUTPUT IS: {-((A0 k Sin[k z-t ω])/r),0,0} *)
Is this because of a bug, or am I missing something?
tis time, not the angle theta. – Bill Watts Dec 09 '20 at 22:17