I've created two issue last year, but unfortunately was able to return to this problem only now.
This question is a continue to this issue.
Essentially I am now trying to apply a solution from the question above to three-bonded star graph (I am trying to apply method, suggested by @xzczd in another issue).
I was able to create such a code (link to pdetoode):
{lb = -20, mb = 0, rb = 20, tmax = 24.3};
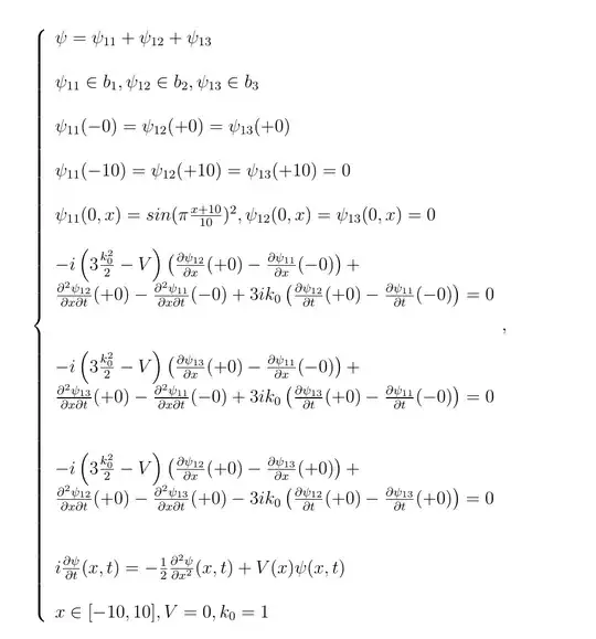
func1[x_] = 2/(9*Pi)*Exp[-((x + 10)^2/9) + I*(x + 10)];
With[{u = u1[t, x]}, eq1 = I D[u, t] + 1/2 D[u, {x, 2}] == 0;
ic1 = {u == func1[x], u == 0} /. t -> 0;
{bcl1, bcm1,
bcr1} = {u == 0 /.
x -> lb, -3 I/2 D[u, x] + D[u, t, x] + 3 I D[u, t] /. x -> mb,
u == 0 /. x -> rb}];
With[{u = u2[t, x]}, eq2 = I D[u, t] + 1/2 D[u, {x, 2}] == 0;
ic2 = {u == 0, u == 0} /. t -> 0;
{bcl2, bcm2,
bcr2} = {u == 0 /.
x -> lb, -3 I/2 D[u, x] + D[u, t, x] + 3 I D[u, t] /. x -> mb,
u == 0 /. x -> rb}];
With[{u = u3[t, x]}, eq3 = I D[u, t] + 1/2 D[u, {x, 2}] == 0;
ic3 = {u == 0, u == 0} /. t -> 0;
{bcl3, bcm3,
bcr3} = {u == 0 /.
x -> lb, -3 I/2 D[u, x] + D[u, t, x] + 3 I D[u, t] /. x -> mb,
u == 0 /. x -> rb}];
(Creating two grids, each corresponds to an edge of the graph
)
points = 100; {gridl, gridr} =
Array[# &, points, #] & /@ {{lb, mb}, {mb, rb}};
difforder = 2;
ptoofunc1 = pdetoode[u1[t, x], t, gridl, difforder];
ptoofunc2 = pdetoode[u2[t, x], t, gridr, difforder];
ptoofunc3 = pdetoode[u3[t, x], t, gridr, difforder];
del = #[[2 ;; -2]] &;
ode1 = del@ptoofunc1@eq1;
ode2 = del@ptoofunc2@eq2;
ode3 = del@ptoofunc3@eq3;
odeic1 = ptoofunc1@ic1;
odeic2 = ptoofunc2@ic2;
odeic3 = ptoofunc3@ic3;
odebc1 = ptoofunc1@bcl1;
odebc2 = ptoofunc2@bcr2;
odebc3 = ptoofunc3@bcr3;
odebcm1 = ptoofunc1@bcm1 == ptoofunc2@bcm2;
odebcm2 = ptoofunc1@bcm1 == ptoofunc3@bcm3;
odebcm3 = ptoofunc2@bcm2 == ptoofunc3@bcm3;
odebc = {odebcm1, odebcm2, odebcm3,
With[{sf = 1},
Map[sf # + D[#, t] &, {odebc1, odebc2, odebc3}, {2}]]};
sollst = NDSolveValue[{ode1, ode2, ode3, odeic1, Rest@odeic2,
Rest@odeic3, odebc}, {u1 /@ gridl, u2 /@ gridr, u3 /@ gridr}, {t,
0, tmax}, MaxSteps -> Infinity] // AbsoluteTiming;
I would be grateful for any suggestions considering my problem. thanks for your attention
UPDATE
According to @xzczd suggestion, I've tried to correct a few conditions:
- initial conditions are now just
ic1 = u == func1[x] /. t -> 0;,ic2 = u == 0 /. t -> 0;,ic3 = u == 0 /. t -> 0; - $\psi_{11}(−0)=\psi_{12}(+0)=\psi_{13}(+0)$ condition is now implemented as
odebcmzero = ptoofunc1@bczero1 == ptoofunc2@bczero2 == ptoofunc3@bczero3; - only
odebcm1now present in NDSolve
The code looks like this:
{lb = -20, mb = 0, rb = 20, tmax = 24.3};
func1[x_] = 2/(9*Pi)*Exp[-((x + 10)^2/9) + I*(x + 10)];
With[{u = u1[t, x]}, eq1 = I D[u, t] + 1/2 D[u, {x, 2}] == 0;
ic1 = u == func1[x] /. t -> 0;
{bcl1, bcm1, bcr1,
bczero1} = {u == 0 /.
x -> lb, -3 I/2 D[u, x] + D[u, t, x] + 3 I D[u, t] /. x -> mb,
u == 0 /. x -> rb, u /. x -> mb}];
With[{u = u2[t, x]}, eq2 = I D[u, t] + 1/2 D[u, {x, 2}] == 0;
ic2 = u == 0 /. t -> 0;
{bcl2, bcm2, bcr2,
bczero2} = {u == 0 /.
x -> lb, -3 I/2 D[u, x] + D[u, t, x] + 3 I D[u, t] /. x -> mb,
u == 0 /. x -> rb, u /. x -> mb}];
With[{u = u3[t, x]}, eq3 = I D[u, t] + 1/2 D[u, {x, 2}] == 0;
ic3 = u == 0 /. t -> 0;
{bcl3, bcm3, bcr3,
bczero3} = {u == 0 /.
x -> lb, -3 I/2 D[u, x] + D[u, t, x] + 3 I D[u, t] /. x -> mb,
u == 0 /. x -> rb, u /. x -> mb}];
(Creating two grids, each corresponds to an edge of the graph
)
points = 50; {gridl, gridr} =
Array[# &, points, #] & /@ {{lb, mb}, {mb, rb}};
difforder = 2;
ptoofunc1 = pdetoode[u1[t, x], t, gridl, difforder];
ptoofunc2 = pdetoode[u2[t, x], t, gridr, difforder];
ptoofunc3 = pdetoode[u3[t, x], t, gridr, difforder];
del = #[[2 ;; -2]] &;
ode1 = del@ptoofunc1@eq1;
ode2 = del@ptoofunc2@eq2;
ode3 = del@ptoofunc3@eq3;
odeic1 = ptoofunc1@ic1;
odeic2 = ptoofunc2@ic2;
odeic3 = ptoofunc3@ic3;
odebc1 = ptoofunc1@bcl1;
odebc2 = ptoofunc2@bcr2;
odebc3 = ptoofunc3@bcr3;
odebcm1 = ptoofunc1@bcm1 == ptoofunc2@bcm2;
(odebcm2 = ptoofunc1@bcm1==ptoofunc3@bcm3;
odebcm3 = ptoofunc2@bcm2==ptoofunc3@bcm3;)
odebcmzero =
ptoofunc1@bczero1 == ptoofunc2@bczero2 == ptoofunc3@bczero3;
odebc = {odebcm1, odebcmzero,
With[{sf = 1},
Map[sf # + D[#, t] &, {odebc1, odebc2, odebc3}, {2}]]};
sollst = NDSolveValue[{ode1, ode2, ode3, odeic1, Rest@odeic2,
Rest@odeic3, odebc}, {u1 /@ gridl, u2 /@ gridr, u3 /@ gridr}, {t,
0, tmax}, MaxSteps -> Infinity] // AbsoluteTiming;
but at least it outputs an interpolating functions, which is kind of progress.
FINAL SOLUTION Thanks to @xzczd's invaluable assistance, I was able to fix existing problems:
- removed
Rest@for initial conditions - aded
With[{sf = 1}, Map[sf # + D[#, t] &, odebcmzero, {2}]trick
So, fully-working code with the demonstration looks like this (you also should add pdetoode function at the beginning of the file):
{lb = -20, mb = 0, rb = 20, tmax = 24.3};
func1[x_] = 2/(9*Pi)*Exp[-((x + 10)^2/9) + I*(x + 10)];
With[{u = u1[t, x]}, eq1 = I D[u, t] + 1/2 D[u, {x, 2}] == 0;
ic1 = u == func1[x] /. t -> 0;
{bcl1, bcm1, bcr1,
bczero1} = {u == 0 /.
x -> lb, -3 I/2 D[u, x] + D[u, t, x] + 3 I D[u, t] /. x -> mb,
u == 0 /. x -> rb, u /. x -> mb}];
With[{u = u2[t, x]}, eq2 = I D[u, t] + 1/2 D[u, {x, 2}] == 0;
ic2 = u == 0 /. t -> 0;
{bcl2, bcm2, bcr2,
bczero2} = {u == 0 /.
x -> lb, -3 I/2 D[u, x] + D[u, t, x] + 3 I D[u, t] /. x -> mb,
u == 0 /. x -> rb, u /. x -> mb}];
With[{u = u3[t, x]}, eq3 = I D[u, t] + 1/2 D[u, {x, 2}] == 0;
ic3 = u == 0 /. t -> 0;
{bcl3, bcm3, bcr3,
bczero3} = {u == 0 /.
x -> lb, -3 I/2 D[u, x] + D[u, t, x] + 3 I D[u, t] /. x -> mb,
u == 0 /. x -> rb, u /. x -> mb}];
(Creating two grids, each corresponds to an edge of the graph
)
points = 100; {gridl, gridr} =
Array[# &, points, #] & /@ {{lb, mb}, {mb, rb}};
difforder = 2;
ptoofunc1 = pdetoode[u1[t, x], t, gridl, difforder];
ptoofunc2 = pdetoode[u2[t, x], t, gridr, difforder];
ptoofunc3 = pdetoode[u3[t, x], t, gridr, difforder];
del = #[[2 ;; -2]] &;
ode1 = del@ptoofunc1@eq1;
ode2 = del@ptoofunc2@eq2;
ode3 = del@ptoofunc3@eq3;
odeic1 = ptoofunc1@ic1;
odeic2 = ptoofunc2@ic2;
odeic3 = ptoofunc3@ic3;
odebc1 = ptoofunc1@bcl1;
odebc2 = ptoofunc2@bcr2;
odebc3 = ptoofunc3@bcr3;
odebcm1 = ptoofunc1@bcm1 == ptoofunc2@bcm2;
(odebcm2 = ptoofunc1@bcm1==ptoofunc3@bcm3;
odebcm3 = ptoofunc2@bcm2==ptoofunc3@bcm3;)
odebcmzero =
ptoofunc1@bczero1 == ptoofunc2@bczero2 == ptoofunc3@bczero3;
odebc = {odebcm1,
With[{sf = 1}, Map[sf # + D[#, t] &, {odebcmzero}, {2}]],
With[{sf = 1},
Map[sf # + D[#, t] &, {odebc1, odebc2, odebc3}, {2}]]};
sollst = NDSolveValue[{ode1, ode2, ode3, odeic1, odeic2, odeic3,
odebc}, {u1 /@ gridl, u2 /@ gridr, u3 /@ gridr}, {t, 0, tmax},
MaxSteps -> Infinity] // AbsoluteTiming;
{soll, solr1, solr2} =
MapThread[rebuild, {sollst[[2]], {gridl, gridr, gridr}}];
sol1 = {t, x} [Function]
Piecewise[{{soll[t, x], x < mb}}, solr1[t, x]];
sol2 = {t, x} [Function]
Piecewise[{{soll[t, x], x < mb}}, solr2[t, x]];
Manipulate[
Plot[Abs[sol1[t, x]]^2, {x, lb, rb},
AxesLabel -> {x,
"|[Psi]!(*SuperscriptBox[(|), (2)]), First-second bond
propagation"}, PlotRange -> All], {{t, 0, "time"}, 0, tmax,
Appearance -> "Labeled"}]
Manipulate[
Plot[Abs[sol2[t, x]]^2, {x, lb, rb},
AxesLabel -> {x,
"|[Psi]!(*SuperscriptBox[(|), (2)]), First-third bond
propagation"}, PlotRange -> All], {{t, 0, "time"}, 0, tmax,
Appearance -> "Labeled"}]



ic1,ic2,ic3are incorrect, because we've introducedu1,u2andu3, the code should be modified accordingly. 2. Similarly, we need to code the condition $\psi_{11}(-0)=\psi_{12}(+0)=\psi_{13}(+0)$ explicitly. 3. The most serious problem: something is wrong with the conditions at the node. It's not too hard to notice four conditions i.e. $\psi_{11}(-0)=\psi_{12}(+0)=\psi_{13}(+0)$ and one ofodebcm1,odebcm2,odebcm3already determines a solution. – xzczd Apr 23 '21 at 15:58u1, and not present on two other bonds foru2andu3). It seems to push the problem a bit further, because it outputs interpolating function, but the issue is still present. – zanhesl Apr 24 '21 at 09:59Restbeforeodeic1andodeic2should be removed now. 2. We need theWith[{sf = 1}, Map[sf # + D[#, t] &, …, {2}]trick forodebcmzero.