Maybe this could be a stupid question, but I can't solve this problem. I'm trying to evaluate an expression with LinearSolve Function but it doesn't work.
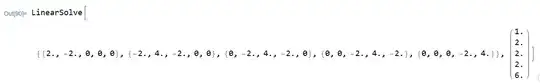
I have pre-evaluated the matrix matriceRigidezza which is [5x5] and the array terminiNoti which is [5x1]. Then I tryed to calculate vector dsol which is solution of the linear sistem matriceRigidezza.dsol==terminiNoti. Here is the code I wrote:
terminiNoti = -terminiNoti // MatrixForm;
matriceRigidezza // MatrixForm;
dsol = LinearSolve[matriceRigidezza, terminiNoti]
I'd like to have the numerical solution instead of the repetition of the instruction. If someone could help me I really thank you.

MatrixForm. This function should not be used when defining matrices, but only for printing them as output. See item number 8 here – Sjoerd Smit May 05 '21 at 10:21