I am working on the paper "A short study of an SIR model with inclusion of an alert class, two explicit nonlinear incidence rates and saturated treatment rate" by Kumar, Nilam and Kishor and I am trying to plot the bifurcation diagram $I$ vs $R_0$ as they do in their paper. The plot is this

And the system of ODES in the paper is this:

I am trying to plot the graph, but I have no idea. I tried to mimic the method explained in this link by writing I* in terms of R_0, but it was not very helpful, since I obtained a polynomial of degree 3 in the variable I*.
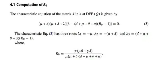
Can you help me with this plotting? Thanks in advance. The value of R_0 given in the paper is


