Update: A more direct approach using Region`Mesh`MeshCellNormals and "EdgeFaceConnectivity" to get a Dataset with "edge" (edge index) "faces" (indices of faces connected to "edge"), "facenormals" (normal vectors for "faces"), and "dihedral" (dihedral angle of "faces") as columns:
ClearAll[edgeDihedrals]
edgeDihedrals[bmr_] := Module[{fn = Region`Mesh`MeshCellNormals[bmr, 2]},
Dataset @ MapIndexed[Association @ {"edge" -> #2[[1]], "faces" -> #,
"facenormals" -> AssociationThread[#, fn[[#]]],
"dihedral" -> ArcCos[Dot @@ fn[[#]]]} &] @ bmr["EdgeFaceConnectivity"]]
Examples:
bdg = BoundaryDiscretizeGraphics @ Geodesate[PolyhedronData["Icosahedron"], 3];
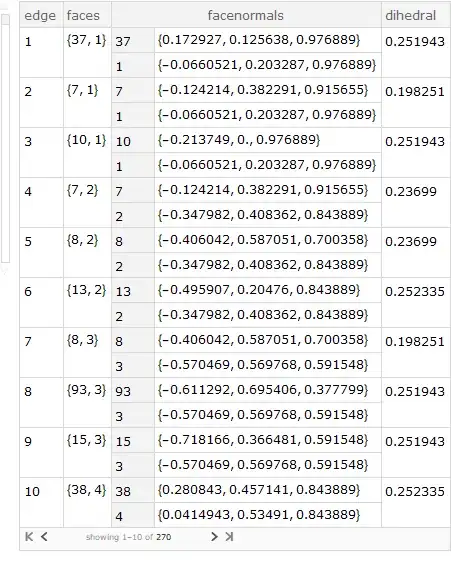
edgeDihedrals[bdg]

edgeDihedrals[bdg][Range[10], {"edge", "faces", "dihedral"}]

edgeDihedrals[bdg][{1, 2, 3}, {"edge", "dihedral"}]

HighlightMesh[bdg,
{Style[{1, 1}, Thick, Red],
## & @@ Thread[{2, Normal @ edgeDihedrals[bdg][1, "faces"]}],
Style[{1, 15}, Thick, Green],
## & @@ Thread[{2, Normal @ edgeDihedrals[bdg][15, "faces"]}]},
PlotTheme -> "FaceNormals"]

edgeDihedrals @ BoundaryDiscretizeGraphics @ PolyhedronData["Tetrahedron"]

Original answer:
First, use BoundaryDiscretizeGraphics to get a BoundaryMeshRegion object:
bdg = BoundaryDiscretizeGraphics @ Geodesate[PolyhedronData["Icosahedron"], 3];
We can identify faces connected thru an edge using the properties "FaceVertexConnectivity" and "FaceFaceConnectivity". Then, we can use the function Region`Mesh`MeshCellNormals to get normals for each pair of neighboring faces and use Dot + ArcCos to get the dihedral angles.
ClearAll[neighboringFaces, dihedralAngle]
neighboringFaces[bmr_] := Module[{faces = bmr["FaceVertexConnectivity"]},
Association @ MapIndexed[Function[{x, ind}, ind[[1]] ->
DeleteCases[x, _?(Length[Intersection[faces[[ind[[1]]]], faces[[#]]]] != 2 &)]],
bmr["FaceFaceConnectivity"]]];
dihedralAngle[bmr_][i_, j_] /; MemberQ[neighboringFaces[bmr][i], j] :=
ArcCos[Dot @@ RegionMeshMeshCellNormals[bmr, {{2, i}, {2, j}}]]
Examples:
neighboringFaces[bdg][1]
{7, 10, 37}
neighboringFaces[bdg][15]
{3, 18, 100}
HighlightMesh[bdg, {Style[{2, 1}, Red], ## & @@ Thread[{2, neighboringFaces[bdg][1]}],
Style[{2, 15}, Green], ## & @@ Thread[{2, neighboringFaces[bdg][15]}]},
PlotTheme -> "FaceNormals"]

{1, #} -> dihedralAngle[bdg][1, #] & /@ neighboringFaces[bdg][1]
{{1, 7} -> 0.198251, {1, 10} -> 0.251943, {1, 37} -> 0.251943}
{15, #} -> dihedralAngle[bdg][15, #] & /@ neighboringFaces[bdg][15]
{{15, 3} -> 0.251943, {15, 18} -> 0.198251, {15, 100} -> 0.251943}
$Version
"11.3.0 for Microsoft Windows (64-bit) (March 7, 2018)"