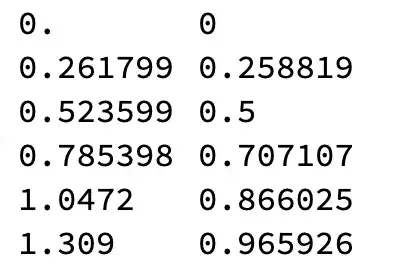
The grid formed below aligns its columns as I want on the decimal point:
x = 2. Pi/24 Range[0, 5];
data = Transpose[{x, Chop@Sin[x]}];
Grid[data, Alignment -> {"."}]
Now I want to prepend a row to the grid with its two items centered. I tried the following, which if I understand the documentation, ought to do it:
Grid[Prepend[data, {"x", "sin x"}], Alignment -> {Center, {"."}}]
But that just centers all entries in each column.
How do I get just the first row's entries to be centered but the remaining rows to be aligned on the decimal point?




Grid[ReplacePart[Array["x"&, {10,6}], {#,#}->"---------" &/@Range[6]], Alignment->{{Center, {Right, Left}, Center}}, Frame->All]– Chris Degnen Sep 06 '21 at 14:08