As we all know, the definition of B-spline contains the B-spline basis function, which has the recursive form

$B_{j,k}$ is the j-th degree $k-1$ polynomial. It has nonzeros only in interval $[t_j,t_{j+k})$ which contains $k$ spans $[t_j,t_{j+1}),...,[t_{j+k-1},t_{j+k})$.
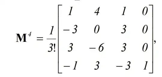
So for the span $[t_{i},t_{i+1})$ there are in total $k$ degree $k-1$ polynomials. I want to extract the coefficients of every power. These coefficients form a matrix called $M^k(i)$, whose first column number is the coefficients of the first nonzero polynomial $B_{i-k+1,k}$, like this picture:

The result for $M^4(i)$ when $t_{i+1}-t_{i}=1$ given in General Matrix Representations for B-Splines, 4.1 Basis matrices of uniform B-splines, is as follows:
In 4.2 Basis matrices for Bezier curves, the matrix is
colth = 0;
PiecewiseExpand[BSplineBasis[{3, {0, 0, 0, 0, 1, 1, 1, 1}}, colth, x]]
(*gives the colth column of Basis matrices for Bezier curves *)
How could I get the basis matrices of uniform B-Splines?

