I have absolutely no experience using Mathematica or similar packages, so please bear in mind with me.
I am an IB student that has gotten themselves a copy of Mathematica for the purpose of simply performing Gaussian elimination, a method that I am largely unfamiliar with (as it is not part of our syllabus).

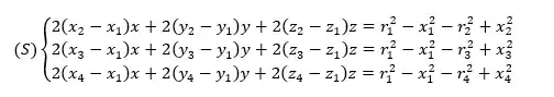
I have the above system of equations that I would like to solve, and I have the following numerical values:

I would like to ask, how can I apply Gaussian elimination in Mathematica to obtain the following numbers, through solving system S?
Again, I want to mention that I know little about Gaussian elimination and even less about Mathematica, which is the reason I came to this exchange. Any help would be really greatly appreciated, thanks in advance!
{
2 (x2 - x1) x + 2 (y2 - y1) y + 2 (z2 - z1) z == r1^2 - x1^2 - r2^2 + x2^2,
2 (x3 - x1) x + 2 (y3 - y1) y + 2 (z3 - z1) z == r1^2 - x1^2 - r3^2 + x3^2,
2 (x4 - x1) x + 2 (y4 - y1) y + 2 (z4 - z1) z == r1^2 - x1^2 - r4^2 + x4^2,
x1 == 2088202.299, x3 == 35606984.591,
y1 == -11757191.37, y3 == 94447027.237,
z1 == 25391471.881, z3 == 9101378.572,
x2 == 11092568.240, x4 == 3966929.048,
y2 == -14198201.090, y4 == 7362851.831,
z2 == 21471165.950, z4 == 26388447.172,
r1 == 23204698.51, r2 == 21585835.37,
r3 == 31364260.01, r4 == 24966798.73
}







Solve[]is what you want; look at the second example in the linked doc page. The only tricky thing here is that you can't use subscripts here, so you would need to write e.g. the first equation as2 (x2 - x1) x + 2 (y2 - y1) y + 2 (z2 - z1) z == r1^2 - x1^2 - r2^2 + x2^2. – J. M.'s missing motivation Dec 15 '21 at 20:11