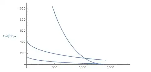
I was trying to make a Plot of three functions, however, its output (below) is very different from what I expected.
There are two problems with this plot: first, it seems to be plotting just one function, as all three lines are of the same color. Second, the plot seems to be cut at around 1400.
My code is
p = {1/5, 1/4, 2/3};
v = {0, 6, 15};
u = 10;
eU = Table[p[[i]] Sqrt[wB] + (1 - p[[i]]) Sqrt[wM] - v[[i]], {i, 1, 3}];
Plot[Flatten[Table[wM /. Solve[eU[[i]] == u, {wM}], {i, 1, 3}]], {wB, 0, 1800}]
If, instead, I compute
Flatten[Table[wM /. Solve[eU[[i]] == u, {wM}], {i, 1, 3}]]
and paste the output into a Plot instruction
Plot[{1/16 (2500 - 100 Sqrt[wB] + wB), 1/9 (4096 - 128 Sqrt[wB] + wB),5625 - 300 Sqrt[wB] + 4 wB}, {wB, 900, 1500}]
I do get what I anticipated.





Plot[Evaluate@Flatten[Table[wM /. Solve[eU[[i]] == u, {wM}], {i, 1, 3}]], {wB, 0,1800}]as Plot hasHoldAllattribute. – Nasser Mar 16 '22 at 12:17