Update:
From https://superuser.com/questions/340650/type-math-formulas-in-microsoft-word-the-latex-way it says
If you are running Office 365 version 1707 or later, the Equation
Editor allows you to convert LaTex into the native format. See the
first part of this answer.
I have old word (2010) so I can't test the above. My word equation editor will not accept inserting raw latex in it.

But if you have newer version of word, you can convert the modified expression, after you adding those explicit "()" around the terms, to latex using TeXForm (which will keep the parentheses (surprise)), as mentioned in comments above by thorimur.
Then copy the raw latex into Word equation editor. It should work.
Alternative is to use copy as bitmap:

To do that, select the output from Mathematica using the mouse, then copy/paste as bitmap into word.

I would not recommend doing all of this myself. Output does not look best. Using bitmaps for math is not good. Using Word itself for math is not good.
Best solution is to throw away Word. Generate pure Latex from Mathematica, and use a Latex compiler to generate the PDF. That will produce best output. A professional looking document. But if insist on using Word, the above should do it.
OLD answer
Just remove the "" from the code you used, then it works. Where did the "" stuff come from? If you add "" then it will show up in word ofcourse.
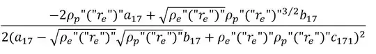
ff = (-2 a17 denP[re] +
b17 Sqrt[
denE[re]] denP[re]^(3/2))/(2 (a17 -
b17 Sqrt[denE[re]] Sqrt[denP[re]] + c171 denE[re] denP[re])^2);
nn = ff /. {denE[
re] -> \!\(\*SubscriptBox[\(\[Rho]\), \(e\)]\) \
(\!\(\*SubscriptBox[\(r\), \(e\)]\)),
denP[re] -> \!\(\*SubscriptBox[\(\[Rho]\), \(p\)]\) \
(\!\(\*SubscriptBox[\(r\), \(e\)]\)), a17 -> Subscript[a, 17],
b17 -> Subscript[b, 17], c171 -> Subscript[c, 171]} //
TraditionalForm
Gives

The copied this to Word, and it works:

on the other hand if I remove "" in nn Mathematica doesn't print them.
I am not seeing this. Does not print what? The question is, where did the "" come? Did you add then yourself?
( )using strings. Ofcourse they will show as strings in word. Better to not do this and leave it as is. That is the right way. But if insist on having () around each term, may be there is a way that someone could find for you. – Nasser Apr 25 '22 at 06:42". Can you then put LaTeX in a Word equation? Not sure how Word works, so not sure how feasible this is. – thorimur Apr 25 '22 at 07:04""and then remove them using "Find and Replace' in Word. – Wisdom Apr 25 '22 at 07:06TeXForminstead of the whole {TraditionalFormthen Copy As > ...} routine; it'll be quicker, especially if combined withCopyToClipboardwhich will copy the output directly upon evaluating! :) – thorimur Apr 25 '22 at 07:15()as a string – Wisdom Apr 25 '22 at 07:42"'s are also added around each(and). For whatever reason, converting to LaTeX successfully excludes these pesky"'s, and so if OP could use LaTeX in word, the problem would be solved. – thorimur Apr 25 '22 at 08:00\frac{b_{17} \sqrt{\rho _e\left(r_e\right)} \rho _p\left(r_e\right){}^{3/2}-2 a_{17} \rho _p\left(r_e\right)}{2 \left(a_{17}-b_{17} \sqrt{\rho _e\left(r_e\right)} \sqrt{\rho _p\left(r_e\right)}+c_{171} \rho _e\left(r_e\right) \rho _p\left(r_e\right)\right){}^2}. As you can see, no"! I'm on v13.0.0.0.) – thorimur Apr 25 '22 at 08:02TeXFormon the edited version with the strings added. So Yes, this could work. My version of word does not support inserting raw Latex into word, so I can't try it. But your method would work better if there is a way to insert raw latex into the equation editor of Word. I am sure there is a way. But my word does not do it. (old version) – Nasser Apr 25 '22 at 08:04$first of course!). An SVG, being a vector image, will be infinitely scalable and thus "infinitely" high quality, and won't run into resolution issues. (Not sure if your version of word supports SVGs, but they're pretty standard—a high-quality PNG is also available from that website if needed, though—click on the Download menu, then PNG (HQ).) Good luck! :) – thorimur Apr 25 '22 at 08:16