I am trying to plot a 3D graph like
but instead I get this
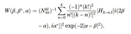
The equation that I want to plot is
Here $H_{k-n,l}[2 \iota \beta- \iota \alpha, \iota \alpha^*]$ represents the bi-variable bi-index Hermite polynomial and its general formula is
The value of norm is
The link to the paper is this. Please tell me if there is any fault in my code. I have tried to troubleshoot and run it multiple times but didn't get the desired plot.
My code is as follows:
\[Alpha] = (1 + I)/Sqrt[2];
[Beta] = q + I*p
normy = ((l!^2(l + k - m)!)/((-1)^mm!(l - m)!^2))LaguerreL[l + k - m, -Abs[[Alpha]]^2];
norm = Sum[normy, {m, 0, l}];
h1 = (((-1)^t(k - n)!l!)/(t!(k - n - t)!(l - t)!))((2I[Beta] - I[Alpha])^(k - n - t)(I[Alpha])^(l - t));
h = Sum[h1, {t, 0, Min[k - n, l]}];
a = ((-1)^nk!^2)/(n!(k - n)!^2);
w = Sum[aAbs[h]^2Exp[-2*Abs[[Alpha] - [Beta]]^2], {n, 0, k}]/norm;
w /. k -> 2;
w21 = % /. l -> 1;
Plot3D[w21, {q, - 4, 4}, {p, - 4 , 4}, PlotRange -> All,
PlotLegends -> Automatic, ColorFunction -> "Rainbow",
Exclusions -> None]





