This question derives directly from this one, but concerns instead a different matter... one related to display format.
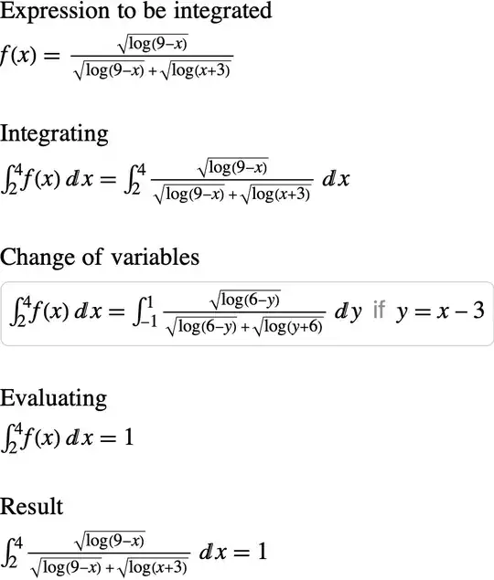
This integral
$$I = \int\limits_2^4 \frac{\sqrt{\log (9-x)}}{\sqrt{\log (9-x)}+\sqrt{\log (x+3)}} \, dx$$
cannot be solved directly by Mathematica:
Integrate[
Sqrt[Log[9 - x]]/(Sqrt[Log[9 - x]] + Sqrt[Log[x + 3]]),
{x, 2, 4}]
As shown in the linked problem, if you give Mathematica a substitution hint (based on the symmetry of the terms in the integrand), then it can solve the integral:
Integrate[
Sqrt[Log[9 - x]]/(Sqrt[Log[9 - x]] + Sqrt[Log[x + 3]]) /.
{x -> y + 3},
{y, -1, 1}]
(* 1 *)
I strongly prefer to display my input in mathematical typography (with integral signs and such),
How does one assert the change in variables (above) in the mathematical typography that shows integral signs and such? I could go in by hand and replace the limits on the integral, the arguments in the integrand, and so on, but that seems very awkward indeed.
I've tried the rather obvious tricks based on Assuming and Replace and so on, but none work, for example
Of course this particular integral is just an example. I'd like a general approach.








int1 = Inactive[Integrate][Sqrt[Log[9 - x]]/(Sqrt[Log[9 - x]] + Sqrt[Log[x + 3]]), {x, 2, 4}]; int2 = ReplacePart[MapAt[ReplaceAll[#, x -> y + 3] &, int1, {1}], 2 -> {y, -1, 1}]; int2//Activateis not what you are looking for. Am I right? – Alexei Boulbitch Aug 14 '22 at 06:19