I'm trying to plot a set of points with 20 digits precision which are taken from orderless list of numbers:
list={{1.7860408575894382005, -1.5587924375666050683},{1.7860408575896091911, -1.5587924375666726723},{1.7860408575896003445, -1.5587924375666730112},{1.7860408575895940105, -1.5587924375666762970},{1.7860408575896193031, -1.5587924375666770038},{1.7860408575895905033, -1.5587924375666808657},{1.7860408575895894882, -1.5587924375666854095},{1.7860408575894538176, -1.5587924375666871838},{1.7860408575896283332, -1.5587924375666872935},{1.7860408575895979651, -1.5587924375666883003},{1.7860408575895975652, -1.5587924375666883389},{1.7860408575895984311, -1.5587924375666884496},{1.7860408575895972755, -1.5587924375666884974},{1.7860408575895971074, -1.5587924375666887107},{1.7860408575895988804, -1.5587924375666888427},{1.7860408575895970482, -1.5587924375666889264},{1.7860408575895902831, -1.5587924375666890936},{1.7860408575895970722, -1.5587924375666891093},{1.7860408575895971488, -1.5587924375666892409},{1.7860408575895972490, -1.5587924375666893170},{1.7860408575895991916, -1.5587924375666895019},{1.7860408575895992167, -1.5587924375666903927},{1.7860408575895988047, -1.5587924375666914027},{1.7860408575895921132, -1.5587924375666915399},{1.7860408575895978411, -1.5587924375666923294},{1.7860408575895942880, -1.5587924375666927315},{1.7860408575895962978, -1.5587924375666928856},{1.7860408575896329117, -1.5587924375667037317},{1.7860408575896290997, -1.5587924375667246910},{1.7860408575894943502, -1.5587924375667396021},{1.7860408575896133102, -1.5587924375667461466},{1.7860408575895836952, -1.5587924375667615202},{1.7860408575895418352, -1.5587924375667622819}}
where every first number from the list is a real part of complex number and every second is an imaginary part.
Being inspired by @Carl Woll ideas from https://mathematica.stackexchange.com/a/153969/87389 and https://mathematica.stackexchange.com/a/146122/87389 I tried to implement them in my code. I create a function
plotting[xleft_,xright_,yup_,ydown_]:=Show[ListPlot[list,FrameLabel->{Re(\[Omega]),Im(\[Omega])},BaseStyle->{PrintPrecision->16}],PlotRange->{{xleft,xright},{yup,ydown}}, Frame -> True, ImageSize -> {700}, AspectRatio->1]
which allows me to plot points from (xleft,xright) range in x-axis and (yup,ydown) range in y-axis. (Of course if the points are in that ranges.) Let me plot some points from a specific range:
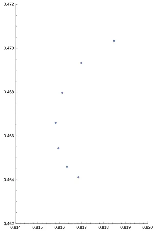
plotting[xleft=1.7860408575894,xright=1.7860408575897,yup=-1.5587924375666,ydown=-1.5587924375668]
As you can see these numbers from orderless list are coverging to some point. It reminds a spiral. But if I want to go deeper
pierwszyoverton=Show[plotting[xleft=1.7860408575895,xright=1.7860408575897,yup=-1.5587924375666,ydown=-1.5587924375668],BaseStyle->{PrintPrecision->16}]
by changing the last digit from 4 to 5 in xleft I obtain such a graph

I want to go deeper by manually changing ranges because I want to extract these points which are the closest to the center of that spiral-like graph which allows me to use Wynn algorithm to accelerate the covergence and find the limit.
Thank you kindly for every idea.
Best regards,
kozapdh

