Maybe this makes it little more clear
ClearAll["Global`*"]
f[a_, n_] := a^2 + n;
coeff = CoefficientRules[56*r^4 + 13*r^2 - 7*r + 2, r]
g[x_] := f[165/100, x[[1, 1]] + 1]*x[[2]];
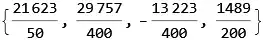
(g[#] &) /@ coeff

Could you rewrite this part ((g[#] &) /@ coeff) without #, & and /@
One way might be
Table[ g[coeff[[n]]], {n, 1, Length@coeff}]

Or
First@Last@Reap@Do[ Sow@g[coeff[[n]]], {n, 1, Length@coeff}]

But whatever you do, do not use For.
But using Map (which is what &/@ does it better and shorter.
Adding Lukas suggestion also:
Map[g, coeff]

Update
And I don't understand this line g[x_] := f[165/100, x[[1, 1]] +
1]*x[[2]], the argument x is a matrix 2X2?
x in this context is each entry of coeff. But coeff is
coeff = CoefficientRules[56*r^4 + 13*r^2 - 7*r + 2, r]

So when you do Map, each x will be one entry in the above list. i.e. {4} -> 56 then {2} -> 13 then {1} -> -7 and so on until all entries are used in the list. So x is each one of these. Let look at one of them
({4} -> 56)[[1, 1]]

({4} -> 56)[[2]]

Now you see what f[165/100, x[[1, 1]] + 1]*x[[2]] does. For this entry, it becomes f[165/100, 4+1]*56
Hold[< unknown expression >] // FullFormwill expand the short forms enough to point you to the documentation. – Bob Hanlon Dec 25 '22 at 21:41