I'm trying to solve for the derivative of [Psi] with respect to [Theta] from these two equations:
Eqn1a = R*Cos[Subscript[\[Psi], 1][\[Theta]]] == Subscript[x, 0] + p[\[Theta]]*Cos[\[Theta]]
Eqn1b = R*Sin[Subscript[\[Psi], 1][\[Theta]]] == Subscript[y, 0] + p[\[Theta]]*Sin[\[Theta]]
I want to find the derivative in terms of x_0, y_0 and [Theta]. In other words, I want to eliminate the variables p and the derivative of p. I've tried differentiating both equations and then using Solve but I've been unsuccessful.
Eqn1aD = D[Eqn1a, \[Theta]]
Eqn1bD = D[Eqn1b, \[Theta]]
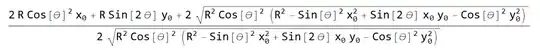
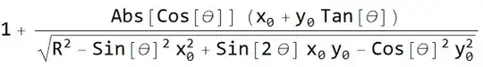
sol = Solve[{Eqn1a, Eqn1b},Derivative[1][Subscript[\[Psi], 1]][\[Theta]]]

