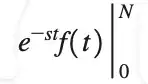
I'm having trouble emulating the following (extra long) vertical bar format in a text cell:
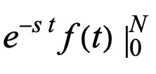
The closest I could get to in a text cell is:
which doesn't look great; it's underlying code is
Cell[TextData[Cell[BoxData[
FormBox[
RowBox[{
RowBox[{
SuperscriptBox["e",
RowBox[{
RowBox[{"-", "s"}], " ", "t"}]],
RowBox[{"f", "(", "t", ")"}]}],
SubsuperscriptBox["\[VerticalSeparator]", "0", "N"]}],
TraditionalForm]],
FormatType->TraditionalForm]], "Text"]
I can't figure out how to stretch the vertical bar so it looks how you would appear in a textbook. Somehow I need the vertical bar to strectch vertically more than it defaults to. This is standard format for a textbook, so it would seem it must be possible in Mathematica. I tried the limitsposition option, does not seem to help with what I'm trying to do.
Any ideas?


