I have the following expression:
I initalize the variables:
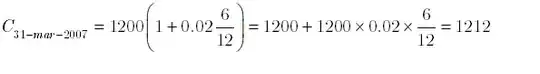
capital = 1200; rate = 0.02; time = 6; period = 12;
and then run for second term, for example:
HoldForm[c (1 + r*t)] /. {c -> capital, r -> rate,
t -> Internal`RationalNoReduce[n, m] /. {n -> time, m -> period}}
I get
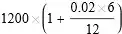
I receive the same result if I use Inactivate or Unevaluated beforehand. It is necesary that the fraction 6/12 does not get simplified to 1/2. This result is not exactly what I want but it is enough for me. But when I enter that instruction in a Row function, I get a different output:
First multiplication symbol × disappears, better, but second make easier to read expression. I have tried with FractionBox, but no difference.
I use version 12.3.1 for Windows and Linux





HoldForm[c (1 + HoldForm[r] HoldForm[t])] /. {c -> capital, r -> rate, t -> Internal`RationalNoReduce[n, m] /. {n -> time, m -> period}}And if you are bothered by ×, see Getting rid of the horrible Times x in Mathematica 12.3. – Domen Apr 03 '23 at 08:22