I have a set of data as the following
data = {{-(1/10), 0.1231238244553477`}, {0, 0.11842669584606009}, {1/
10, 0.11295156506691292`}, {1/5, 0.10626995173555345`}, {1/4,
0.10225817762630054`}, {27/100, 0.10051846336254686`}, {7/25,
0.09963726811580004`}, {29/100, 0.09877358379658636`}, {3/10,
0.0979774456159904`}, {63/200, 0.09726355431994167`}, {8/25,
0.0974294913135746`}, {13/40, 0.09826117039951159`}, {1/3,
0.1265770484367747`}}
ListPloting the data
ListPlot[data, Frame -> True, Axes -> None, FrameStyle -> Black,
BaseStyle -> FontSize -> 13, RotateLabel -> True, PlotStyle -> Blue,
PlotRange -> {5/100, 15/100}, Joined -> True,
InterpolationOrder -> 3]
leads to the following plot
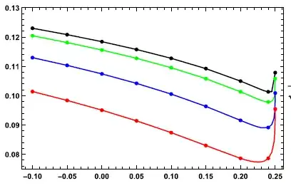
While keeping the interpolationOrder, I want to have a smooth graph without a sharp valley, something like the red curve in the following plot
What should I do?
p.s., Increasing the number of points didn't solve the problem.
I saw a similar plot in a paper:











f'[x]is discontinuous (makes "corners" or "kinks" in the graph -- a break in smoothness) for order 1. Of course order 2 has a continuous derivative but makes the wiggle near 3.2, which you have already observed. – Michael E2 Jun 22 '23 at 14:18ListLinePlot,Interpolation[data, Method -> "Spline", InterpolationOrder -> 1], or evenInterpolation[data, InterpolationOrder -> 1]-- they all connect the data points with straight lines. – Michael E2 Jun 22 '23 at 15:59