We know that the value of this equation is 0
x2 y1 - x1 y2 == 0
For the following equation, there is a correlation between the polynomial parts of the known equation (opposite to each other).
-x1 y + x2 y + x y1 - x2 y1 - x y2 + x1 y2 == 0
Why can't the replacement be replaced with 0?
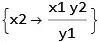
(-x1 + x2) y - x2 y1 + x (y1 - y2) + x1 y2 == 0 /. (x2 y1 - x1 y2) ->
0

