My goal is to do symbolic calculations in the noncommutative associative algebra generated by two elements $x,y$ satisfying the relation $x.y=q~y.x$. This infinite dimensional algebra has the basis $X_{i,j}=x^i y^j$ with multiplication rules $$X_{i,j}.X_{k,l}=q^{-jk}X_{i+k,j+l}.\tag{1}$$ I want to realize this multiplication rule as a function $m[A,B]$ where both $A$ and $B$ are (finite) linear combinations of $X_{i,j}$s and the output should also be linear combination of $X_{i,j}$s. How to do this in Mathematica?
Asked
Active
Viewed 72 times
0
-
1Perhaps 20435 would be of some interest. – Syed Sep 04 '23 at 18:38
-
1Nothing in the current version supports this. Unless you find a package on the web, or someone willing to volunteer their time, you'll need to write this yourself. Start by writing down a detailed list of rules your new objects follow, then use some of the methods in the previous comment to implement these rules. – Sep 04 '23 at 18:55
-
See section "Some noncommutative algebraic manipulation" in this conference talk from 1998. In particular there is an implementation of commutators. – Daniel Lichtblau Sep 05 '23 at 23:51
2 Answers
2
rule=
{
x_**y_/;scalarQ[x]||scalarQ[y]:>x*y,
(k_?scalarQ*x_)**y_:>k*x**y,
x_**(k_?scalarQ*y_):>k*x**y,
(x_+y_)**z_:>x**z+y**z,
z_**(x_+y_):>z**x+z**y,
x[i_,j_]**x[k_,l_]:>q^(i k) x[i+k,j+l]
};
scalarQ[expr_]:=FreeQ[expr,x];
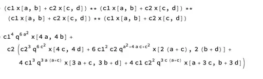
expr=NonCommutativeMultiply@@ConstantArray[(c1 x[a,b]+c2 x[c,d]),4]
expr//.rule//Simplify
Lacia
- 2,253
- 3
- 19
-
Apart from a small typo in line 8 ($q^{i k}$ should actually be $q^{-jk}$), this solution works. – Lagrenge Sep 05 '23 at 19:05
2
A rather easy way of implementation is to use one of the different undefined product functions like CenterDot, CircleDot as containers and implement the axioms by patterns. This is just a proposal to be tested for functioning. Since TensorExpand does not work on CenterDot as with containers TensorProduct and Wedge, it has to be implemented explicitely.
Protect[X,q];
X/: VectorQ[Subscript[X,_,_]]:=True
q:/NumberQ[q]:=True
QScalarQ[x__]:= FreeQ[Times[x],Subscript[X,_,_]]
(CenterDot as the algebra defining TensorProduct )
QExpand={ CenterDot[a___,Subscript[X,i_,j_],Subscript[X,m_,n_],b___]] :>
Exp[- q j m]*CenterDot[a___,Subscript[X,i+m,j+n] ,b] ,
(*The other rules are multilinearity with repect to + and scalar Times *)
(* Multilinearity for Plus *)
CenterDot[a___,b_Plus,c___]] :> (CenterDot[a,#_,c]&)/@b ,
(* Scalar Times multilinearity *)
CenterDot[a___,p__?QScalarQ * Subscript[X,i_,j_] ,b___]] :>
Times[p]* CenterDot[a,Subscript[X,i,j] ,b] }
CenterDot[] :=1
CenterDot[x_]:=x
Use it by
expr //.QExpand
Roland F
- 3,534
- 1
- 2
- 10
