Is there a way to ask Mathematica to simplify expressions it generates, like:
$e^{-\frac{A t}{v^3}-\frac{v^2}{2 w^2}} \left(-1+e^{\frac{A t}{v^3}}\right)$
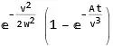
into a more readable form by taking out the common factor, like:
$e^{-\frac{v^2}{2 w^2}} \left(1-e^{-\frac{A t}{v^3}}\right)$
Here is the Mma code to simplify the first equation:
Simplify[E^(-((A t)/v^3) - v^2/(2 w^2)) (-1 + E^((A t)/v^3))]
