I have an equation which results in an answer of the form
$\frac{i a}{\sqrt{c-d}}$
is there any way to get Mathematica to present it in it's real form? like
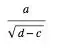
$\frac{a}{\sqrt{d-c}}$
I know that I can simply take Re[f[x]] to get the real part, but I don't just want the real part. If the answer is complex, I definitely want to know that, but when it is not complex and can be written as a fully real number, I would like it to give me that form.
My actual is example is far more complicated than this and the inside of the radical will always be positive if it is written as d - c, but I don't think i can put that assumption in because it is so complicated.
The actual example is :
(I*2^(5/2 + l)*Subscript[a, 1]^(5/2 + l)*
(Subscript[a, 0] + Subscript[a, 1])^(4 + 2*l))/
Sqrt[Gamma[4 + 2*l]*(16^(2 + l)*(3 + 2*l)*Subscript[a, 0]^(3 + 2*l)*
Subscript[a, 1]^(5 + 2*l) - 2*(2 + l)*
(Subscript[a, 0] + Subscript[a, 1])^(8 + 4*l))]
where I already have the assumptions :
{Subscript[a, 0] > 0, Subscript[a, 1] > 0, l >= 0, Element[l, Integers]}
and obtained the result (written above) when using FullSimplify on my system of equations.

d>c? – Eli Lansey Mar 22 '12 at 20:37Simplify[I a/Sqrt[c - d], {d > c}]? Is your actual problem more complicated than this example? – rm -rf Mar 22 '12 at 20:37Iin it", which sounds like a very subjective criterion to me. – David Mar 22 '12 at 23:32