Say I have a PDF:
PDF[LogNormalDistribution[1.75, 0.65], x]
Calculating it, Mathematica gives me an expression that looks like this:

I want to extract the equation itself so I can use it in other calculations. On a one off basis, I can do that with Part[]:
PDF[LogNormalDistribution[1.75, 0.65], x][[1, 1, 1]]
which gives me the following:

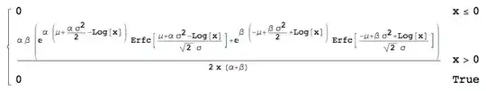
That's fine, but I need something more universal. For instance, for a different PDF that looks like this:

I could get what I need with:
%[[1, 2, 1]]
You see my dilemma. How do I extract the business part of such expressions in a more universal way so I can use them in other calculations and functions that may need to deal with a variety of such expressions?




Piecewise, but were apparently unsatisfied because that was fragile. I agree. But to have it not fragile, the only option I see is to use conditions for this, at least if you want to do this programmatically. – Leonid Shifrin Apr 05 '12 at 18:17