I now have a ServiceConnection for this, to make things a little bit more standardized.
Installation
You can install it like so:
PacletInstall[
"ServiceConnection_OEIS",
"Site" ->
"http://www.wolframcloud.com/objects/b3m2a1.paclets/PacletServer"
]

Then connect like:
$so = ServiceConnect["OEIS"]

Search
fibData = $so["Search", "Query" -> Fibonacci /@ Range[25]];
fibData[All, "Description"] // Normal
<|
"000045" -> "Fibonacci numbers: F(n) = F(n-1) + F(n-2) with F(0) = 0 and F(1) = 1.",
"212804" -> "Expansion of (1-x)/(1-x-x^2).",
"147316" -> "Fibonacci numbers (A000045) starting at offset -20.",
"039834" -> "a(n+2) = -a(n+1) + a(n) (signed Fibonacci numbers) with a(-2) = a(-1) = 1; or Fibonacci numbers (A000045) extended to negative indices.",
"152163" -> "a(n)=a(n-1)+a(n-2), n>1 ; a(0)=1, a(1)=-1 .",
"236191" -> "(-1)^floor( (n-1) / 3 ) * F(n), where F = Fibonacci."
|>
$so["Search", "Query" -> {4, 12, 17, 25, 33, 38, 46}][All, "Description"] // Normal
<|
"134860" -> "Wythoff AAB numbers; also, Fib101 numbers: those n for which the Zeckendorf expansion A014417(n) ends with 1,0,1.",
"095099" -> "Duplicate of A134860."
|>
SequenceData
fib2 = $so["SequenceData", "ID" -> "000045"];
fib2["Algorithms", "Mathematica"] // Normal
{
"Table[Fibonacci[k], {k, 0, 50}] (* Mohammad K. Azarian, Jul 11 2015 )",
"Table[2^n Sqrt @ Product[(Cos[Pi k/(n + 1)]^2 + 1/4), {k, n}] // FullSimplify, {n, 15}]; ( Kasteleyn's formula specialized, Sarah-Marie Belcastro (smbelcas(AT)toroidalsnark.net), Jul 04 2009 )",
"LinearRecurrence[{1, 1}, {0, 1}, 40] ( Harvey P. Dale, Aug 03 2014 )",
"Fibonacci[Range[0, 20]] ( Eric W. Weisstein, Sep 22 2017 )",
"CoefficientList[Series[-(x/(-1 + x + x^2)), {x, 0, 20}], x] ( Eric W. Weisstein, Sep 22 2017 *)"
}
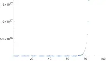
Sequence
$so["Sequence", "ID" -> "000045"] // Take[#, 100] & // ListPlot

ResourceFunctions: OEISSequence and OEISSequenceData – kglr Sep 23 '21 at 18:15