Edit: since the upgrade to Mathematica 10, this problem seems solved
I just want to solve a system of partial differential equations, for example:
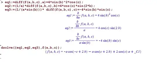
$$ \left\{ \begin{array}{l} \frac{\partial}{\partial a}[f(a, b, c)] = 4 \sin^2(b) \cos(c) \\ \frac{1}{a} \times \frac{\partial}{\partial b}[f(a, b, c)] = 4 \cos(c) \sin(2b) \\ \frac{1}{a \sin(b)} \times \frac{\partial}{\partial c}[f(a, b, c)] = -4 \sin(b) \sin(c) \\ \end{array} \right. $$
And when I try to solve this system in Mathematica, the output does not help:
DSolve[
{
D[f[a, b, c], a] == 4 Sin[b]^2 Cos[c],
(1/a) *D[f[a, b, c], b] == 4 Cos[c] Sin[2 b],
(1/(a Sin[b]))*D[f[a, b, c], c] == -4 Sin[b] Sin[c]
}, f[a, b, c], {a, b, c}]
(* DSolve[
{
Derivative[1, 0, 0][f][a, b, c] == 4*Cos[c]*Sin[b]^2,
Derivative[0, 1, 0][f][a, b, c]/a == 4*Cos[c]*Sin[2*b],
(Csc[b]*Derivative[0, 0, 1][f][a, b, c])/a == -4*Sin[b]*Sin[c]
}, f[a, b, c], {a, b, c}] *)
Obviously, this output is useless… Probably I doing something wrong…
Thank you for your help
Note : The solution is $f(a, b, c) = 4a \sin^2(b) \cos(c) + K$ (K : the integration constant).

Integrate,TrigReduce,Simplify, etc. to get the mechanical parts done automatically, while you guide it through the complete procedure by hand. The Algebraic Manipulation Palette is useful for this type of work. – Szabolcs Feb 14 '14 at 22:04DSolve[{D[f[a, b], a] == 0,(1/a) D[f[a, b], b] == 0},f[a, b], {a, b}]and it can't do it. Now remove the(1/a)from the second equation, (which is the same as multiplying both sides bya, then it solves it ! – Nasser Feb 14 '14 at 22:34DSolve[{D[f[a, b, c], a] == 4 Sin[b]^2 Cos[c], D[f[a, b, c], b] == 4 a Cos[c] Sin[2 b], D[f[a, b, c], c] == -4 a Sin[b] Sin[b] Sin[c]}, f[a, b, c], {a, b, c}]You should post this as an answer, it's worth highlighting. – Szabolcs Feb 14 '14 at 22:37