Graphics[Text[Style["Sqrt[a^2-b^2]", FontSize->25], {0,0}]]
yields:

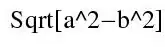
but I want the nicer looking $\sqrt{a^2-b^2}$ instead of the ugly "Sqrt[a^2-b^2]". How?
Graphics[Text[Style["Sqrt[a^2-b^2]", FontSize->25], {0,0}]]
yields:

but I want the nicer looking $\sqrt{a^2-b^2}$ instead of the ugly "Sqrt[a^2-b^2]". How?
Graphics[Text[Style[Sqrt[a^2 - b^2], FontSize -> 25], {0, 0}]]UseHoldFormif you don't want the quantities to evaluate. – rm -rf Feb 25 '14 at 16:02