I'm trying to find a way to have Mathematica always represent a numerical value as a self defined variable that I define using lhs=rhs. For example, if I execute
In[1]:=Solve[x^3 - 1 == 0, x]
Out[1]:={{x -> 1}, {x -> -(-1)^(1/3)}, {x -> (-1)^(2/3)}}
What I'd like is to define a variable rho=(-1)^(1/3) so that when I execute the above I get out something like
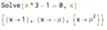
In[1]:=Solve[x^3 - 1 == 0, x]
Out[1]:={{x -> 1}, {x -> -rho}, {x -> rho^2}}
Is this possible? I'm basically trying to get mathematica to always represent an $n$th root of unity as a given symbol to clean up inputs and outputs.


Solve[x^n -1 == 0, x], you get{1, r, r^2, ..., r^n-1}? – rm -rf May 11 '12 at 23:43