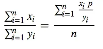
The simplest way to get a slightly more acceptable typeset result is to use TraditionalForm as follows, after you enter the expression as in the question:
\!\(
\*UnderoverscriptBox[\(\[Sum]\), \(i = 1\), \(n\)]
\*SubscriptBox[\(x\), \(i\)]\)/\!\(
\*UnderoverscriptBox[\(\[Sum]\), \(i = 1\), \(n\)]
\*SubscriptBox[\(y\), \(i\)]\) == \!\(
\*UnderoverscriptBox[\(\[Sum]\), \(i = 1\), \(n\)]\((\((
\*FractionBox[
SubscriptBox[\(x\), \(i\)],
SubscriptBox[\(y\), \(i\)]])\) p)\)\)/n
Magnify[%] // TraditionalForm

The reason this doesn't look exactly like what you want is that it wasn't wrapped in HoldForm. For more discussion of how to conveniently enter math expressions especially in the context of graphics labeling, see this answer.
Here is a better way to enter things, but I better show just the image:


Edit 2
In the other answer I linked above, I mentioned another way to input formulas that actually belongs into the context of this more general question as well. Therefore, I've made a screen capture to illustrate the steps for getting what I think is the closest to a typesetting interface with Mathematica.
The screen movie has to be short because it's a GIF animation:

- I'm starting with the expression typeset in an input cell.
- In the next cell I add
TraditionalForm content with a dummy string
- The content of the string (
aaa inside the quotation marks) is converted to TraditionalForm via the menu
- The original expression is pasted into the invisible
FormBox that was now created around the aaa
- The resulting string can be edited further (e.g., I replace the
== by =, but you can do arbitrary edits here)
- With an optional
Magnify appended, I evaluate the cell and get the desired result
TraditionalForm, but that's probably not for everyone... You might want to try getting rid ofCourierthough. That's one ugly font. – rm -rf May 28 '12 at 22:29Ctrl /(unless you copy the cell expression) pasting this into mma converts it to $a/b$ when you actually want $\displaystyle\frac{a}{b}$ (there was an old question by Sjoerd on SO about something related to this) – rm -rf May 28 '12 at 22:32Courieris the default font (at least on Mac.) Changing it to a font with serifs helped, but had the kind of issues you suggest it might. – Steve May 28 '12 at 22:33