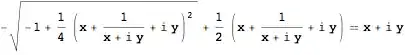
I have an implicit region:
R = ImplicitRegion[-Sqrt[-1 + 1/4 (x + 1/(x + I y) + I y)^2] +
1/2 (x + 1/(x + I y) + I y) == x + I y, {x, y}]
I tried plotting it with RegionPlot:
RegionPlot[R, PlotRange -> {{-2.5, 2.5}, {-2.5, 2.5}}]
but got an error message,
RegionPlot::invplotreg: {ImplicitRegion[-Sqrt[-1+Times[<<2>>]]+1/2 (x+1/Plus[<<2>>]+I y)==x+I y,{x,y}]} is not a valid region to plot. >>
Manually executing RegionPlot seems to work:
RegionPlot[-Sqrt[-1 + 1/4 (x + 1/(x + I y) + I y)^2] +
1/2 (x + 1/(x + I y) + I y) == x + I y, {x, -2, 2}, {y, -2, 2}]
which produces

Similarly, I tried to discretize the region:
DiscretizeRegion[R, {{-2.5, 2.5}, {-2.5, 2.5}}]
but got an error message:
DiscretizeRegion::drf: DiscretizeRegion was unable to discretize the region ImplicitRegion[<<2>>]. >>
Any ideas as to where I am going wrong?
Edit
Algohi has suggested that the problem might have to do with the fact that the truth statement is an equality of complex quantities, which might confuse ImplicitRegion into thinking that it's dummy variables are meant to be taken over the complex numbers, which contradicts the Documentation's stipulation that the values are in $\mathbb R^n$. Unfortunately, this is not the case, as the following counterexample shows:
R = ImplicitRegion[y + I x == y - I x, {x, y}]
RegionPlot[R]
which correctly produces:




ImplicitRegioncannot handle it. – DumpsterDoofus Oct 12 '14 at 19:51