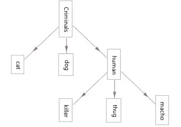
myVertexes = {"Criminals", "cat", "dog", "human", "killer", "thug", "macho"};
myVertexLabels =
Table[myVertexes[[i]] ->
Placed[Rotate[
Panel[myVertexes[[i]],
Background ->
If[AnyTrue[{"Criminals", "human", "macho"},
# == myVertexes[[i]] &], Orange, Yellow]], -\[Pi]/2], Center],
{i, Length[myVertexes]}];
myEdgeShape[el_, ___] := Arrow[el, 0.2];
CriminalTree =
TreeGraph[{"Criminals" -> "cat", "Criminals" -> "dog",
Style["Criminals" -> "human", Thick, Orange], "human" -> "killer",
"human" -> "thug", Style["human" -> "macho", Thick, Orange]},
DirectedEdges -> True,
EdgeShapeFunction -> myEdgeShape,
VertexLabels -> myVertexLabels];
Rotate[Image[CriminalTree], \[Pi]/2]

And here is a direct screen shot of this figure inserted into a Pages document, showing it is in proper orientation.

And here is a direct screen shot of this figure inserted into an MS Word document, showing it in proper orientation.

And here is a direct screen shot of this figure inserted into an Adobe Illustrator document, showing it in proper orientation

And here is a direct screen shot of this figure inserted in MS Powerpoint document, showing it in proper orientation.

TreeGraph[]on the docs. It offers much more flexibility – Dr. belisarius Nov 24 '14 at 21:57