In math mode in $\TeX$, there are four styles that are used to determine what font will be used to typeset parts of a formula. In decreasing hierarchical order, they are, with default font size in parentheses:
- $d$: \displaystyle (10 pt)
- $t$: \textstyle (10 pt)
- $s$: \scriptstyle (7 pt)
- $ss$: \scriptscriptstyle (5 pt)
In-line mathematics formulas start at \textstyle; displayed formulas start at \displaystyle. Different fonts are defined for each style. The style in TeX are implemented by defining three fonts (for each font family, etc. -- unnecessary details omitted). Both \displaystyle and \textstyle use the same font.
In fractions, the styles progress $$ d(10\,pt) \rightarrow t(10\,pt) \rightarrow s(7\,pt) \rightarrow ss(5\,pt) \rightarrow ss(5\,pt) \rightarrow \cdots$$ In exponents, the styles progress $$ \left.{d(10\,pt) \atop t(10\,pt)}\right\rbrace \rightarrow s(7\,pt) \rightarrow ss(5\,pt) \rightarrow ss(5\,pt) \rightarrow \cdots$$
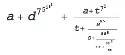
Example:
$$d(10\,pt)^{7 pt^{5pt^{5pt^{5pt^{5pt}}}}} + {t(10\,pt)^{7pt^{5pt}} \over t(10\,pt)+{s(7pt)^{5pt^{5pt}}\over s(7pt)+{ss(5pt)^{5pt}\over ss(5pt)+{ss(5pt)^{5pt}\over ss(5pt)}}}}$$
Below is the default Mathematica behavior on a similar fraction. Note that the size of the first level of the fraction is reduced. The size of the exponents 5 on d continue to decrease until the last step. And the spacing around the + in the fractions does not occur.

If we set AllowScriptLevelChange -> False, we get no change in font size in the exponents or fractions and the spacing around the + remains.

Is there any way to imitate the behavior of $\TeX$? Or to get close?
Related: Adjusting size and positioning of math notation in a Mathematica notebook? and Any way to make my equations look better, more Latex like?. However, to mimic $\TeX$, we cannot simply suppress the change in size in fractions.
