The output looks fine to me. It is, however, relatively complicated. Consider the following simpler example
Minimize[x (x - c), x]
(* Out: {-c^2/4, {x -> c/2}} *)
Thus, there is a minimum value of $y=-c^2/4$ at $x=c/2$, as expected. Now, let's complicate things slightly.
Minimize[c x (x - c), x]

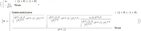
This is a piecewise expression, which is necessary since the result depends crucially on whether $c$ is positive, negative, or zero. Your problem has generated a piecewise expression for the same reason. You've also got a further complication since Mathematica has returned Root expressions. This is is often necessary. For example, the solutions of $x^5-x-1=0$ cannot be easily expressed in terms of radicals. That explains the following cryptic output:
Solve[x^5 - x - 1 == 0, x, Reals]
(* Out: {x -> Root[-1 - #1 + #1^5 &, 1]}} *)
Thus, the one real solution is the first root of $-1-x+x^5$. Doesn't seem very useful, but you can evaluate this numerically.
N[%]
(* Out: {{x -> 1.1673}} *)
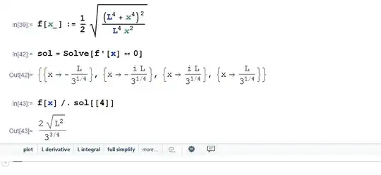
Now, your solution is expressed in terms of the roots of a fourth degree polynomial, and we can get an alternative formulation which might be more to your liking. I'm not sure. Here goes, though:
minInfo = Minimize[1/2 Sqrt[(l^4 + x^4)^2/(l^4 x^2)], {x}] //.
r_Root :> Simplify[ToRadicals[r]]

A bit better, I guess. It's much better, if you plug in a specific value:
minInfo /. l -> 3
(* Out: {-2 3^(1/4), {x -> 3^(3/4)}} *)
I emphasize that you could have plugged numbers in anyway, as Beli showed in his answer.
Plot[1/2 Sqrt[(x (l + x)^2)/l] /. l -> 1, {x, 0, 1}]– Dr. belisarius Dec 18 '14 at 23:47However, using plot and zooming in, I can see it's probably supposed to be +0.759... What's the matter here?
Manipulate[ Plot[1/2 Sqrt[(l^4 + x^4)^2/(l^4 x^2)], {x, 0.7, 0.9}], {l, 1, 1}]
– B. Lee Dec 19 '14 at 00:01x->-x. So if there's a minimum at +0.759 there is also one at -0.759. You might also trySolve[D[1/2 Sqrt[(l^4 + x^4)^2/(l^4 x^2)], x] == 0, x]. – evanb Dec 19 '14 at 00:13